Time management is very much important in IIT JAM. The eduncle test series for IIT JAM Mathematical Statistics helped me a lot in this portion. I am very thankful to the test series I bought from eduncle.
Nilanjan Bhowmick AIR 3, CSIR NET (Earth Science)
>


Deepak singh 1
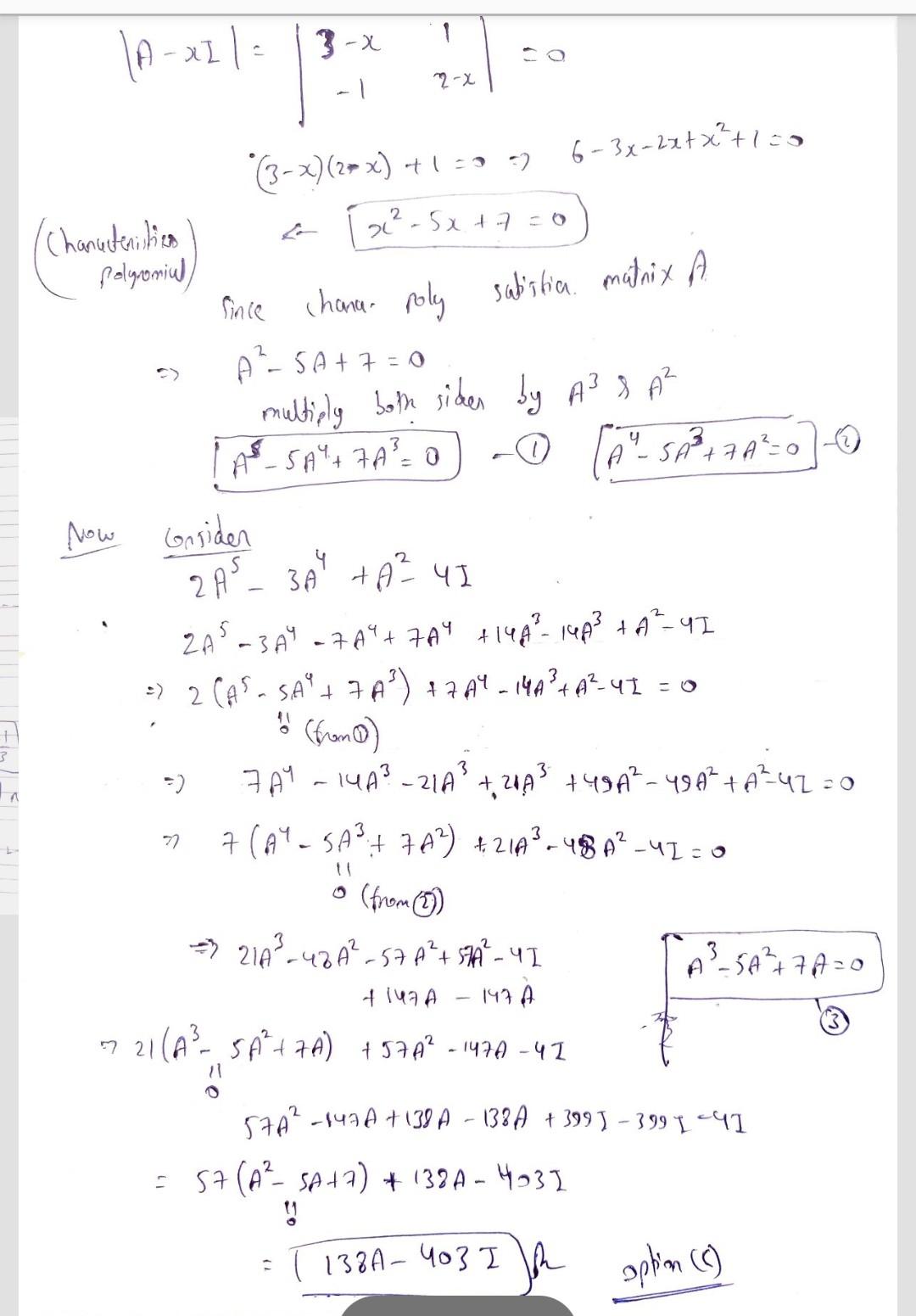
Refer attached option c is correct
the solution is intimidating.
no , its simple. if any doubt at any step then ask ..