Time management is very much important in IIT JAM. The eduncle test series for IIT JAM Mathematical Statistics helped me a lot in this portion. I am very thankful to the test series I bought from eduncle.
Nilanjan Bhowmick AIR 3, CSIR NET (Earth Science)
>


Deepak singh 1 Best Answer
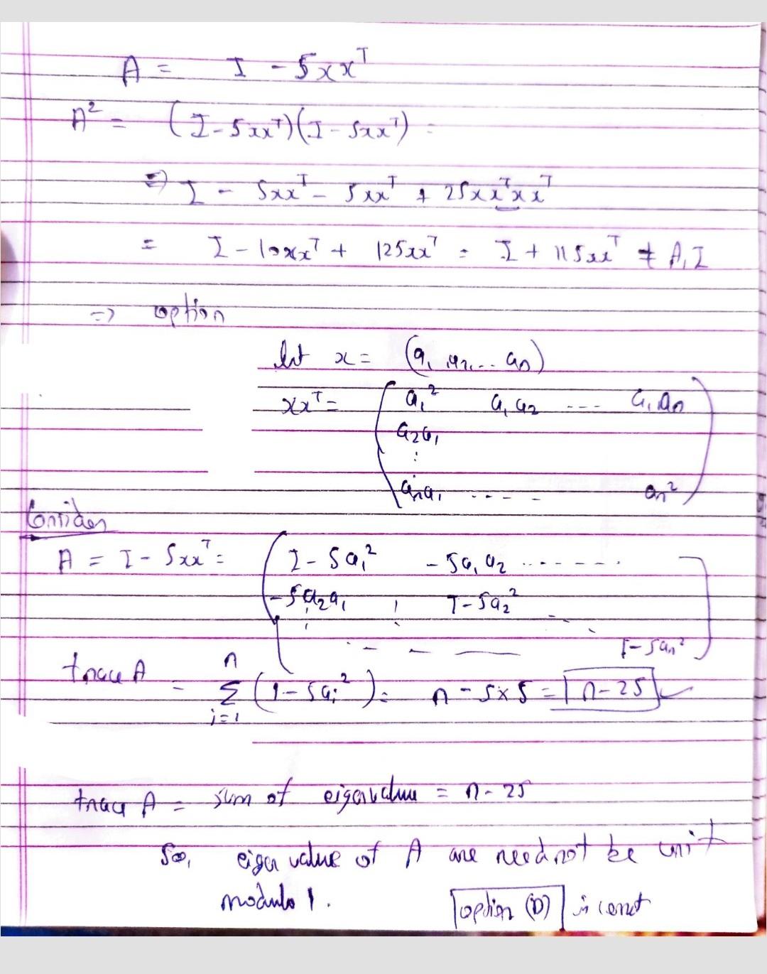
Refer attached option d is correct .
sir in place of submission i =1 to n (ai)² how u put 5 there ...pls once tell
yes wait
got it sir ..thanks a lot sir