Time management is very much important in IIT JAM. The eduncle test series for IIT JAM Mathematical Statistics helped me a lot in this portion. I am very thankful to the test series I bought from eduncle.
Nilanjan Bhowmick AIR 3, CSIR NET (Earth Science)
>


Deepak singh 1 Best Answer
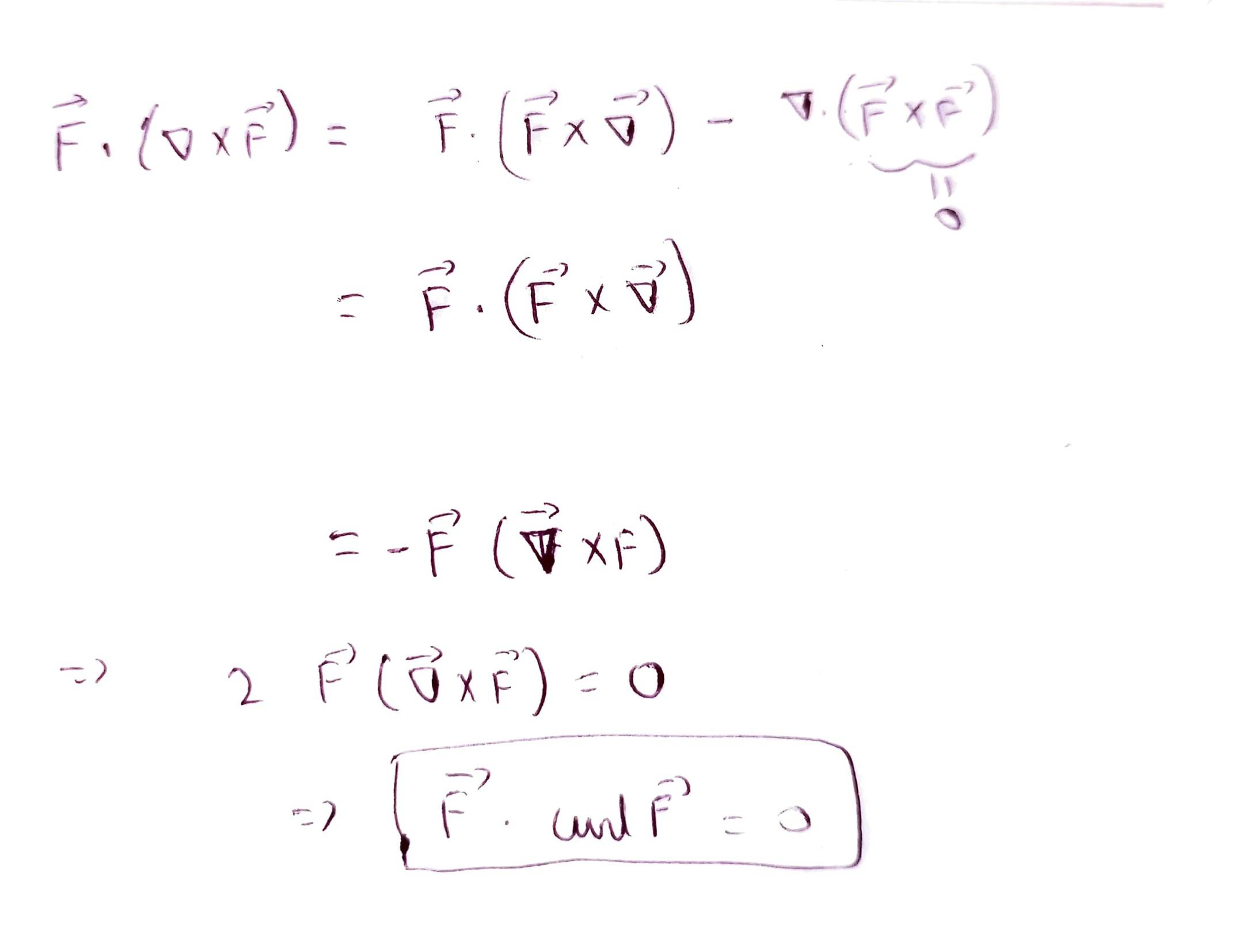
Refer attachment answer is 0
is this a result Deepak sir?
yes , this is general result . I have used this ..
is this way correct, Deepak sir.
yes , its correct ..