Time management is very much important in IIT JAM. The eduncle test series for IIT JAM Mathematical Statistics helped me a lot in this portion. I am very thankful to the test series I bought from eduncle.
Nilanjan Bhowmick AIR 3, CSIR NET (Earth Science)
>


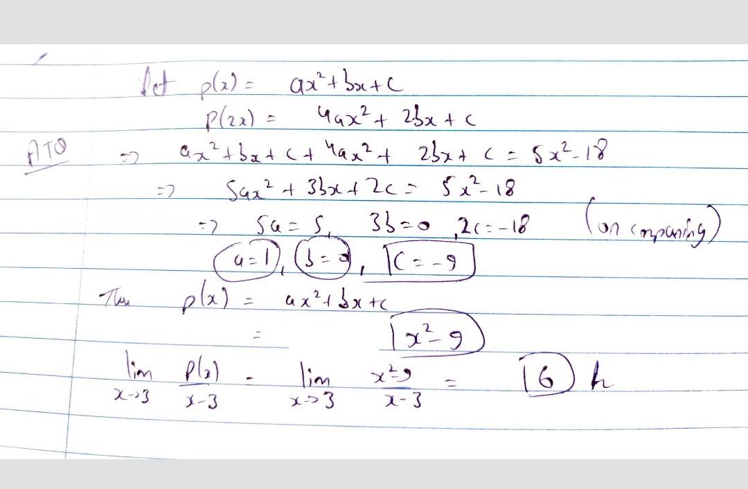
Deepak singh 1 Best Answer
Refer attached Answer is 6
sir in this question why u took polynomial of degree 2 only why not u took of degree 3
yes , we can take cubic and higher also , answer will be same . Here we have to take p(x) such that degree is at least 2 . So I have taken quadratic .