Time management is very much important in IIT JAM. The eduncle test series for IIT JAM Mathematical Statistics helped me a lot in this portion. I am very thankful to the test series I bought from eduncle.
Nilanjan Bhowmick AIR 3, CSIR NET (Earth Science) 
		 
			 
			 
			 
			 
			 
			 
			 
			 
			 
 30 points
 30 points >
>
	 
			 
				
 
 
 
 
             
            

 
                
Deepak singh 1 Best Answer
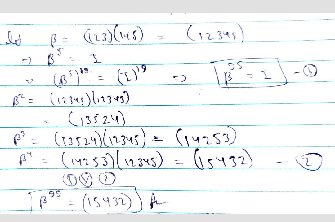
Refer attached
sir whats wrong with my solution ..why i am getting different ans pls once tell
sir pls once tell
yes , let me check .
Refer attached , Here is your mistake.
ohh..yes sir got it ...thanks a lot sir
any doubt vijay ?