Time management is very much important in IIT JAM. The eduncle test series for IIT JAM Mathematical Statistics helped me a lot in this portion. I am very thankful to the test series I bought from eduncle.
Nilanjan Bhowmick AIR 3, CSIR NET (Earth Science)
>


Deepak singh 1 Best Answer
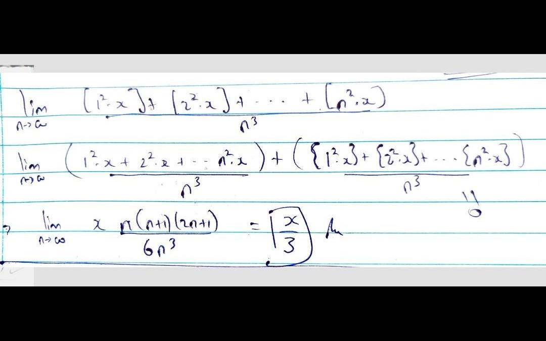
Refer attached Answer is x/3
is this statement incorect?
should have been a minus sign, right?
yes , this statement is correct
If the statement is correct then it should be approaching 0?
yes , there should be -ve sign . (mistakely wrote ) even then answer will be same
but the answer won't change we got lucky
please clear the doubt I posted above.
if it was polynomial in n , then it will approach to 0 (according to statement ) . So here we can't apply that statement .
please show how it is 0?
Refer attached
last doubt
yes , it will still hold true .
Thank you so much for your time!