Time management is very much important in IIT JAM. The eduncle test series for IIT JAM Mathematical Statistics helped me a lot in this portion. I am very thankful to the test series I bought from eduncle.
Nilanjan Bhowmick AIR 3, CSIR NET (Earth Science)
>


Priyadarshan Choursiya Best Answer
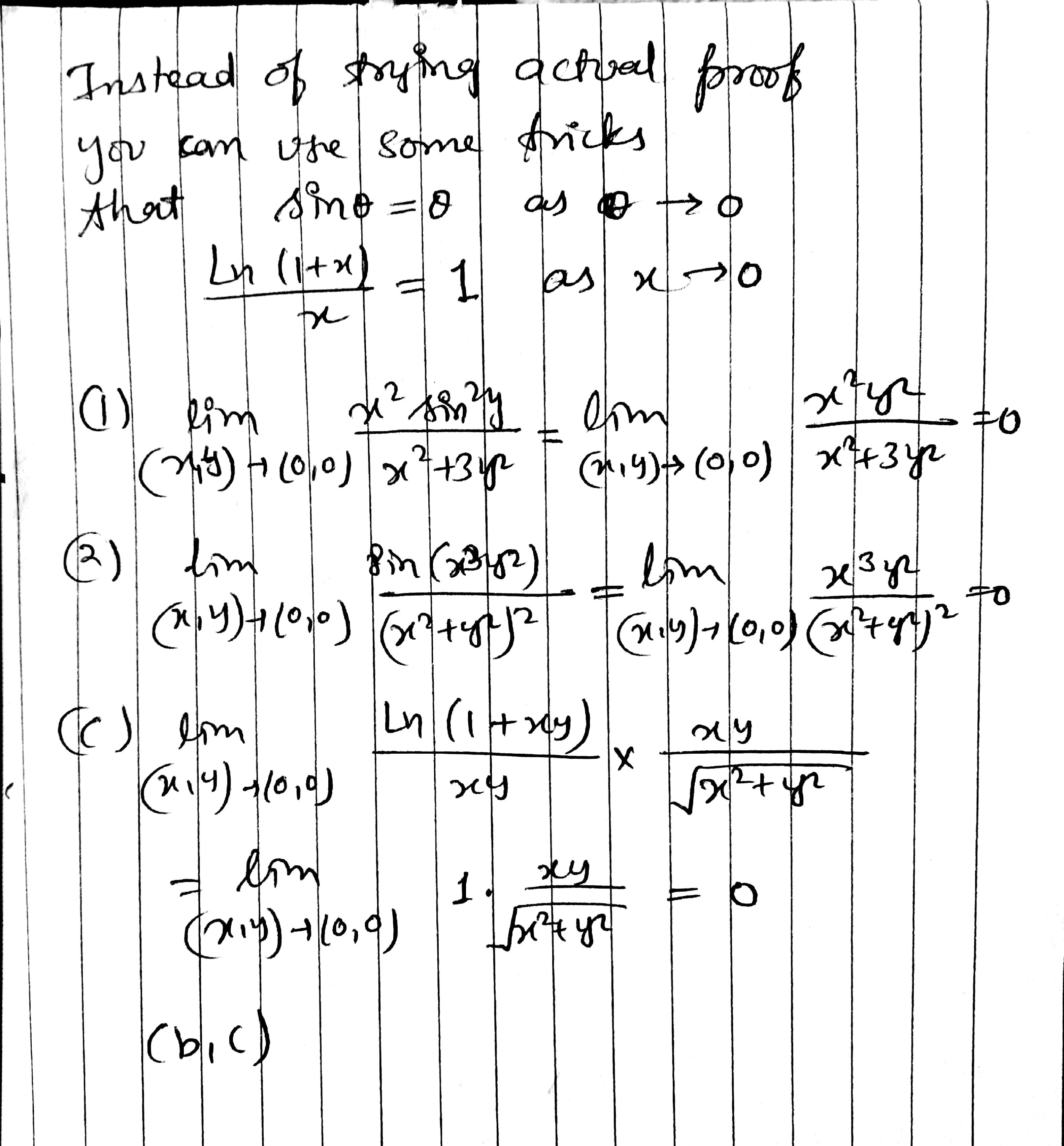
I hope you know some limits of two variables
Thank you so much for those tricks I didn't know that.