Time management is very much important in IIT JAM. The eduncle test series for IIT JAM Mathematical Statistics helped me a lot in this portion. I am very thankful to the test series I bought from eduncle.
Nilanjan Bhowmick AIR 3, CSIR NET (Earth Science)
>


Priyanshu kumar Best Answer
check this
got this?
sir m kya mistake kr rha hun ?
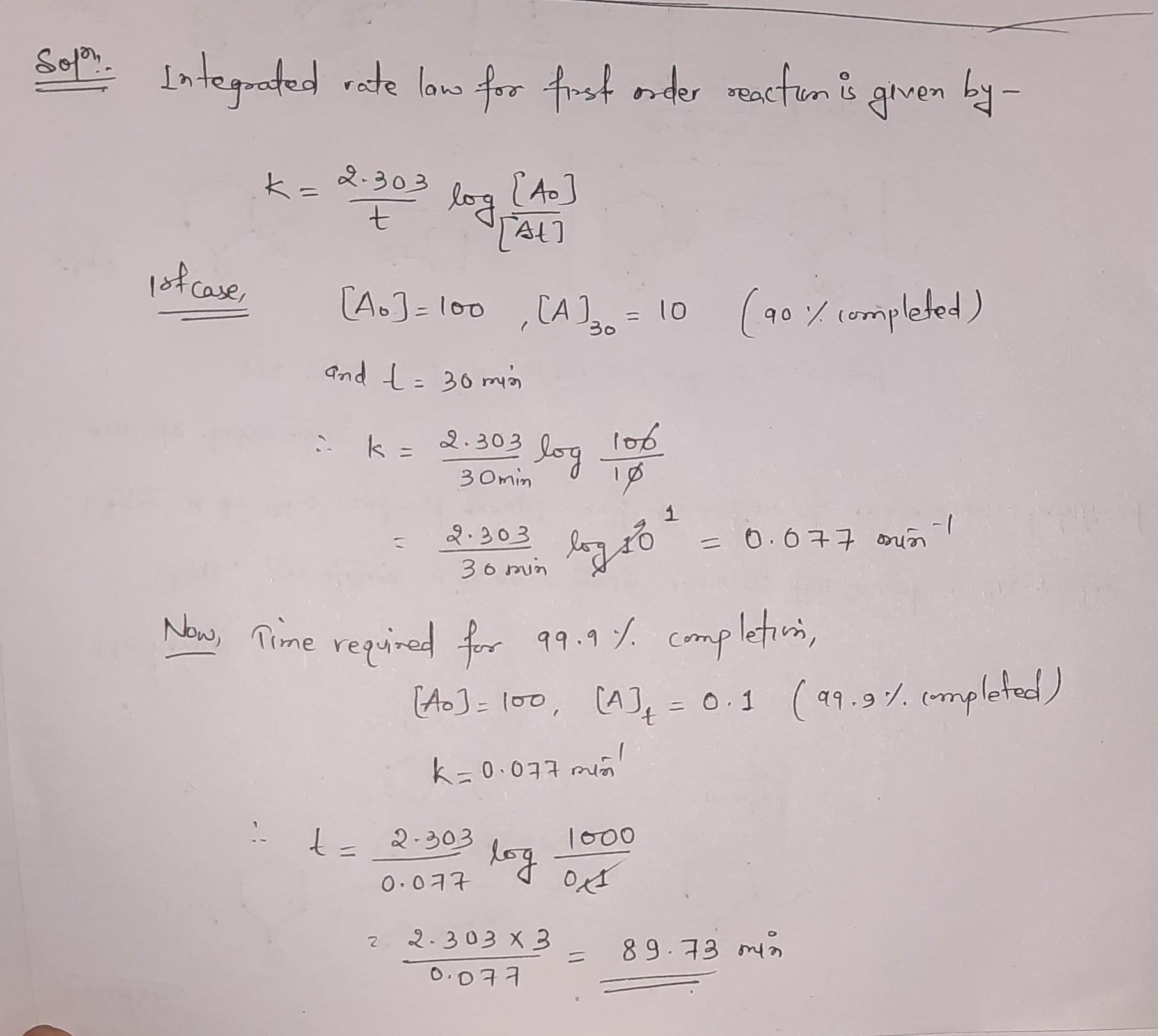
100 initial or left ko iske according kro na...easy rahega
Ok sir , but answer wrong ku aa rha h ?
ans kitta hai?
apka correct h sir but mera 30 min aa rha h but pta ni lg rha k kha glti ho rha h ?
subtraction galat hua hai tmhara last me...waha hoga a/ 0.001a then log 10^3 hoga and last ans 30×3 hoga
thanks sir