Time management is very much important in IIT JAM. The eduncle test series for IIT JAM Mathematical Statistics helped me a lot in this portion. I am very thankful to the test series I bought from eduncle.
Nilanjan Bhowmick AIR 3, CSIR NET (Earth Science) 
		 
			 
			 
			 
			 
			 
			 
			 
			 
			 30 points
 30 points 
			 
				 
 
 
 
             
            

 
                
Raghav Khanna
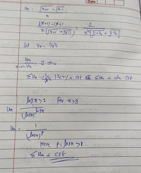
sir in part (vii), for 1/(log n)^p is convergent when p>1, but p must be constant wrt n, as n tends to infinity. But here, p=log n which itself varies with n. Then how can you use the series sigma(1/(logn)^p) here?