Time management is very much important in IIT JAM. The eduncle test series for IIT JAM Mathematical Statistics helped me a lot in this portion. I am very thankful to the test series I bought from eduncle.
Nilanjan Bhowmick AIR 3, CSIR NET (Earth Science)
>


Ruby negi
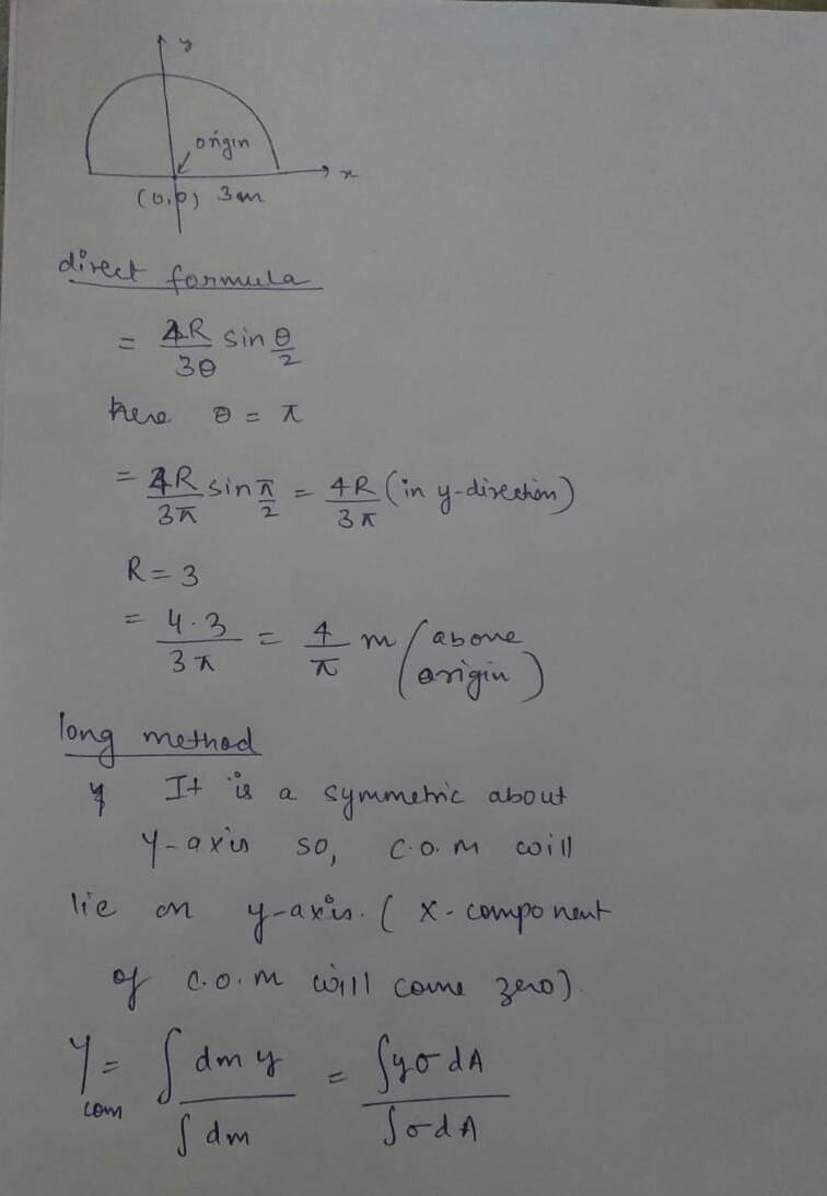
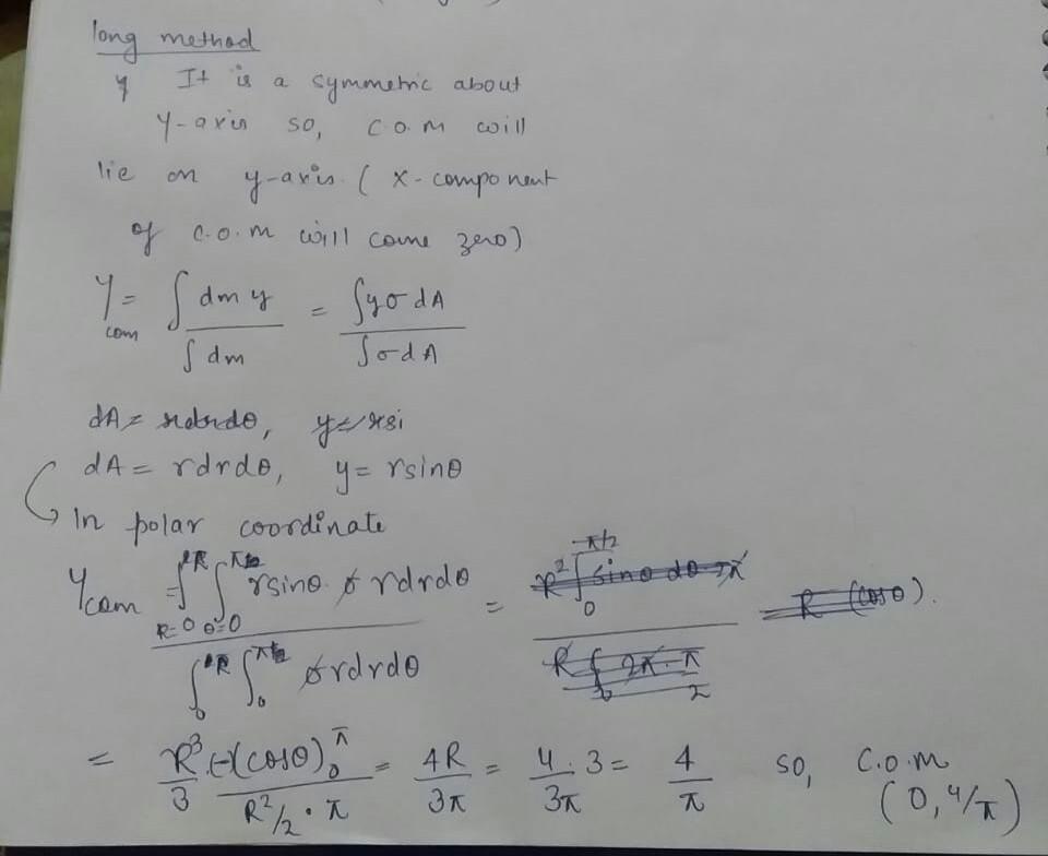
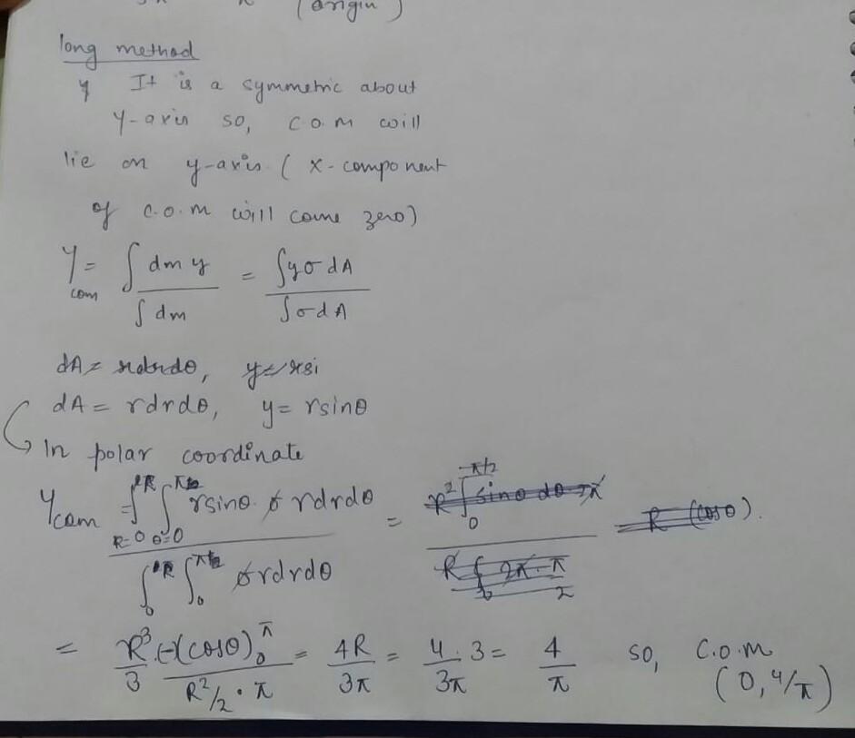
see both methods.. for convenience, u can directly remember the formula that I used first, that formula is for any arc disc with angle theta
,for doubt.. do let me know
best regards