Time management is very much important in IIT JAM. The eduncle test series for IIT JAM Mathematical Statistics helped me a lot in this portion. I am very thankful to the test series I bought from eduncle.
Nilanjan Bhowmick AIR 3, CSIR NET (Earth Science)
>


Ruby negi
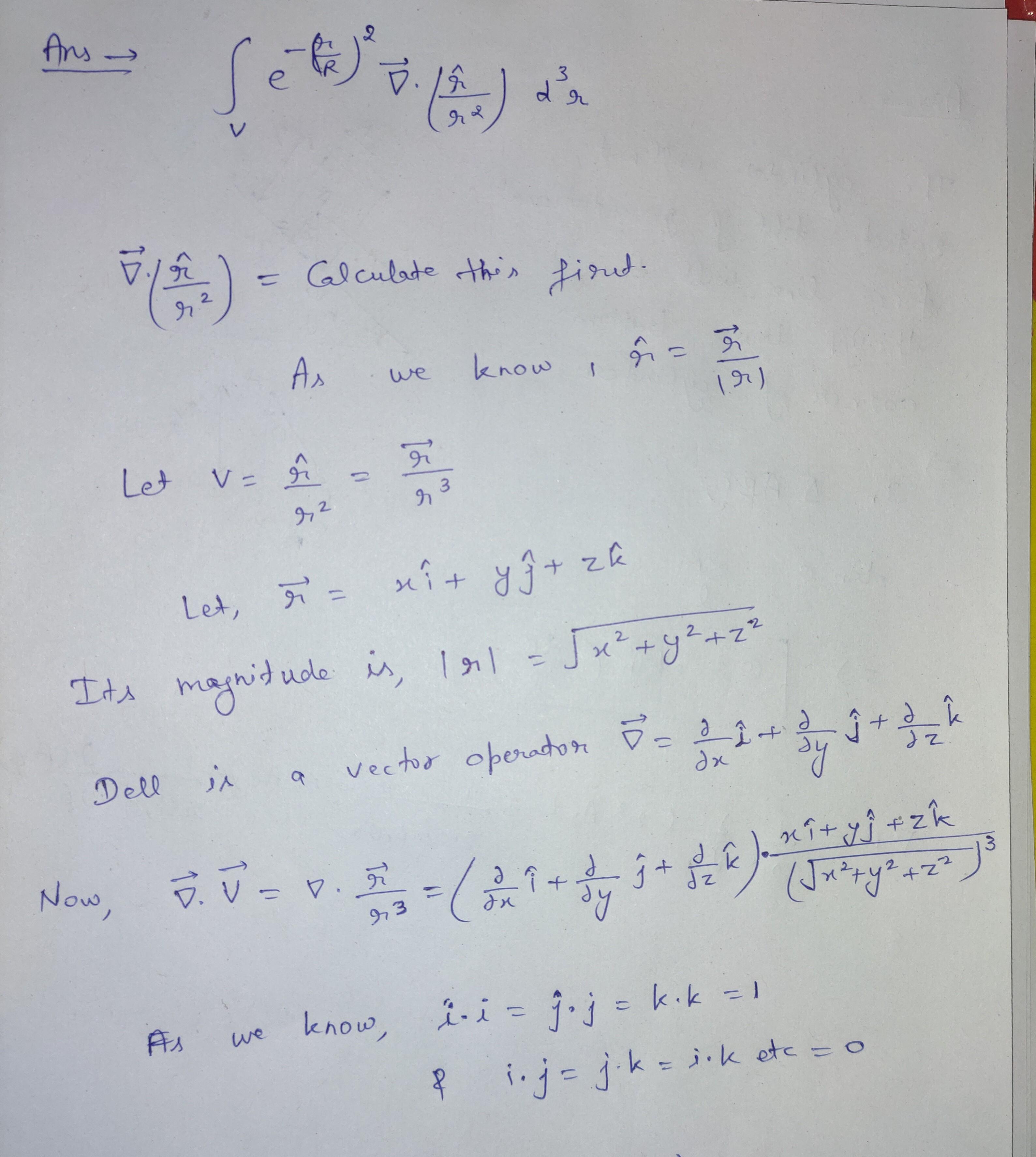
option a is correct.. divergence of (r cap/r^2) is 4*pi* dirac function not equal to zero,it is a special identity. do remember it...