Time management is very much important in IIT JAM. The eduncle test series for IIT JAM Mathematical Statistics helped me a lot in this portion. I am very thankful to the test series I bought from eduncle.
Nilanjan Bhowmick AIR 3, CSIR NET (Earth Science)
>



Ruby negi
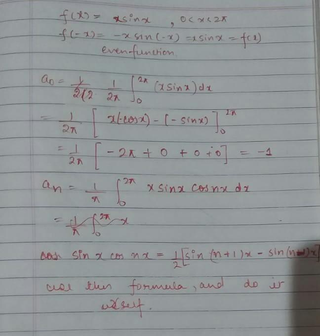
u can't do it using even or odd function method as limit is not symmetric at zero.. do it by simple method that u already knew.. I did first part for u.. do other parts by urself, they are just calculative... if u get stuck, do let me know.. best regards...