Time management is very much important in IIT JAM. The eduncle test series for IIT JAM Mathematical Statistics helped me a lot in this portion. I am very thankful to the test series I bought from eduncle.
Nilanjan Bhowmick AIR 3, CSIR NET (Earth Science)
>


Deepak singh 1 Best Answer
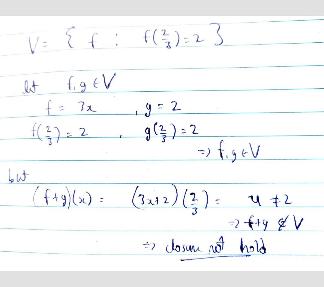
Refer attachment
ok got it sir
because when you put x=2/3 in function f+g=3x+2 , we get 4 not 2 implies f+g not belongs to V set . Thus not a vector space