Time management is very much important in IIT JAM. The eduncle test series for IIT JAM Mathematical Statistics helped me a lot in this portion. I am very thankful to the test series I bought from eduncle.
Nilanjan Bhowmick AIR 3, CSIR NET (Earth Science)
>
>


Ruby negi
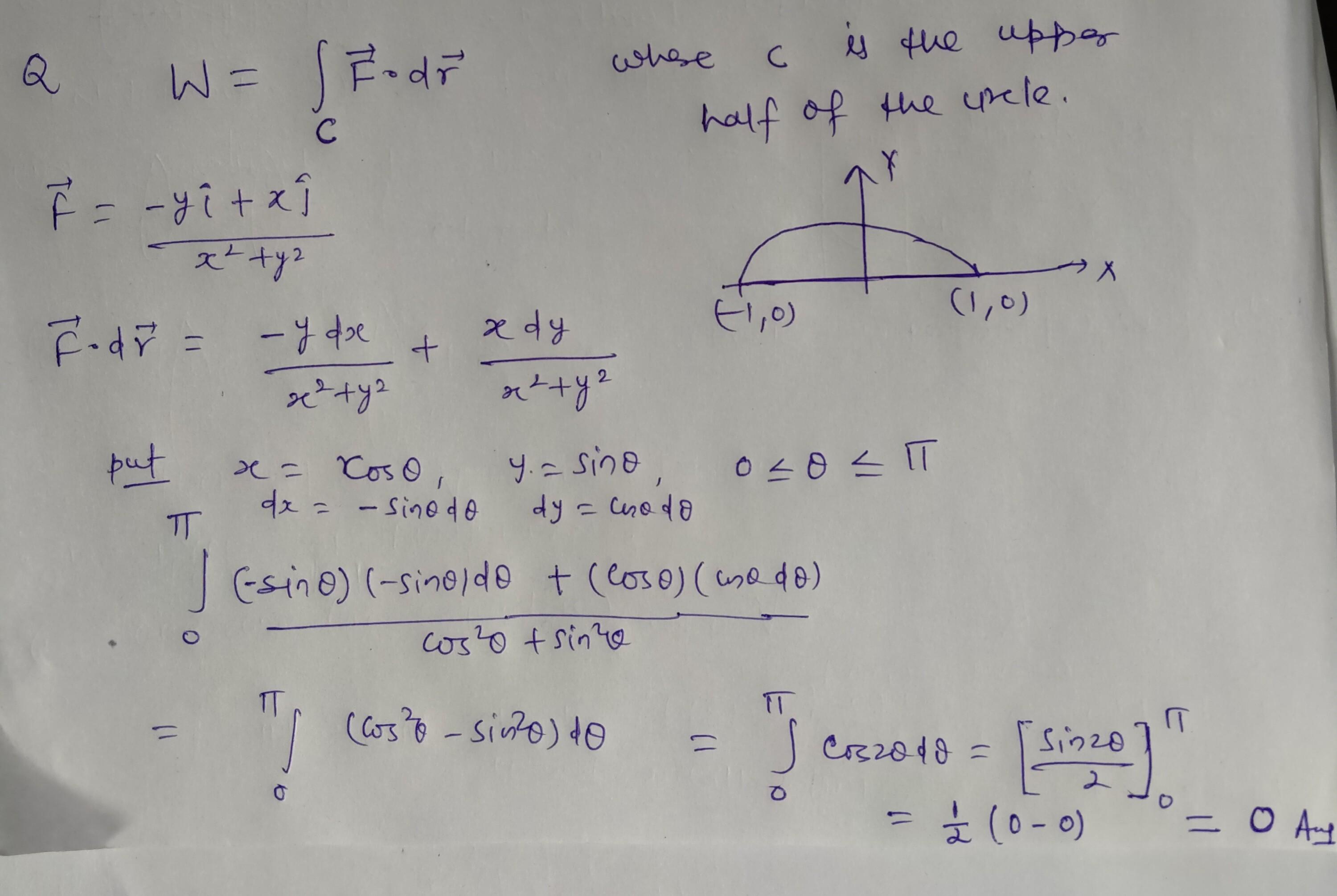
dear, I suggest you when you stuck in these types of questions, change Cartesian coordinate to polar coordinate, calculations become easy and you will get your result... good luck...
and you know Stokes theorem (I did in so many previous attached solutions of your questions). you can use that also when it is closed line integral...
yes mam , thankyou mam