Time management is very much important in IIT JAM. The eduncle test series for IIT JAM Mathematical Statistics helped me a lot in this portion. I am very thankful to the test series I bought from eduncle.
Nilanjan Bhowmick AIR 3, CSIR NET (Earth Science)
>
>



Priyanshu kumar Best Answer
Shweta correct hai bt question 2 me mistake hai
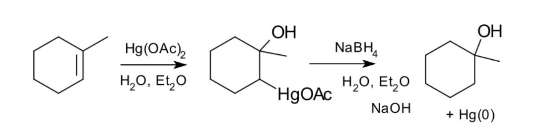
the hydroxy group will always be added to the more substituted carbon
Kha mistake hai pta chala...
sir sry
m Dekh ri hun
okay😊
sir according to markovnikov rule negative part added to that carbon which has less no. of hydtoge
the negative part that is hydroxyl group is attached to carbon which has less hydrogen means more substituted
oh yes
mere mistake hai
sir