Time management is very much important in IIT JAM. The eduncle test series for IIT JAM Mathematical Statistics helped me a lot in this portion. I am very thankful to the test series I bought from eduncle.
Nilanjan Bhowmick AIR 3, CSIR NET (Earth Science)
>
>


Dinesh khalmaniya 1
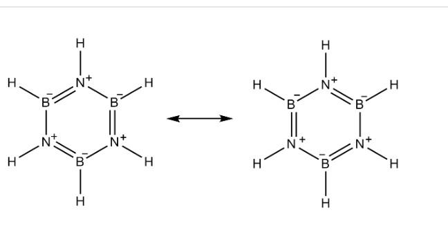
Borazine is made up of boron (electropositive: Lewis acid) and nitrogen (electronegative: Lewis base). ... We can see this from the resonance possibilities: one of the resonance structures has the electrons fully localized on nitrogen.