Time management is very much important in IIT JAM. The eduncle test series for IIT JAM Mathematical Statistics helped me a lot in this portion. I am very thankful to the test series I bought from eduncle.
Nilanjan Bhowmick AIR 3, CSIR NET (Earth Science)
>

>


Ashutosh singh
No, Shweta.
Some questions just want to understand your depth of knowledge about it..rather than being formula based..we use formula for atoms, not molecules... please note it down! That density formula is not applicable for molecules, Shweta!
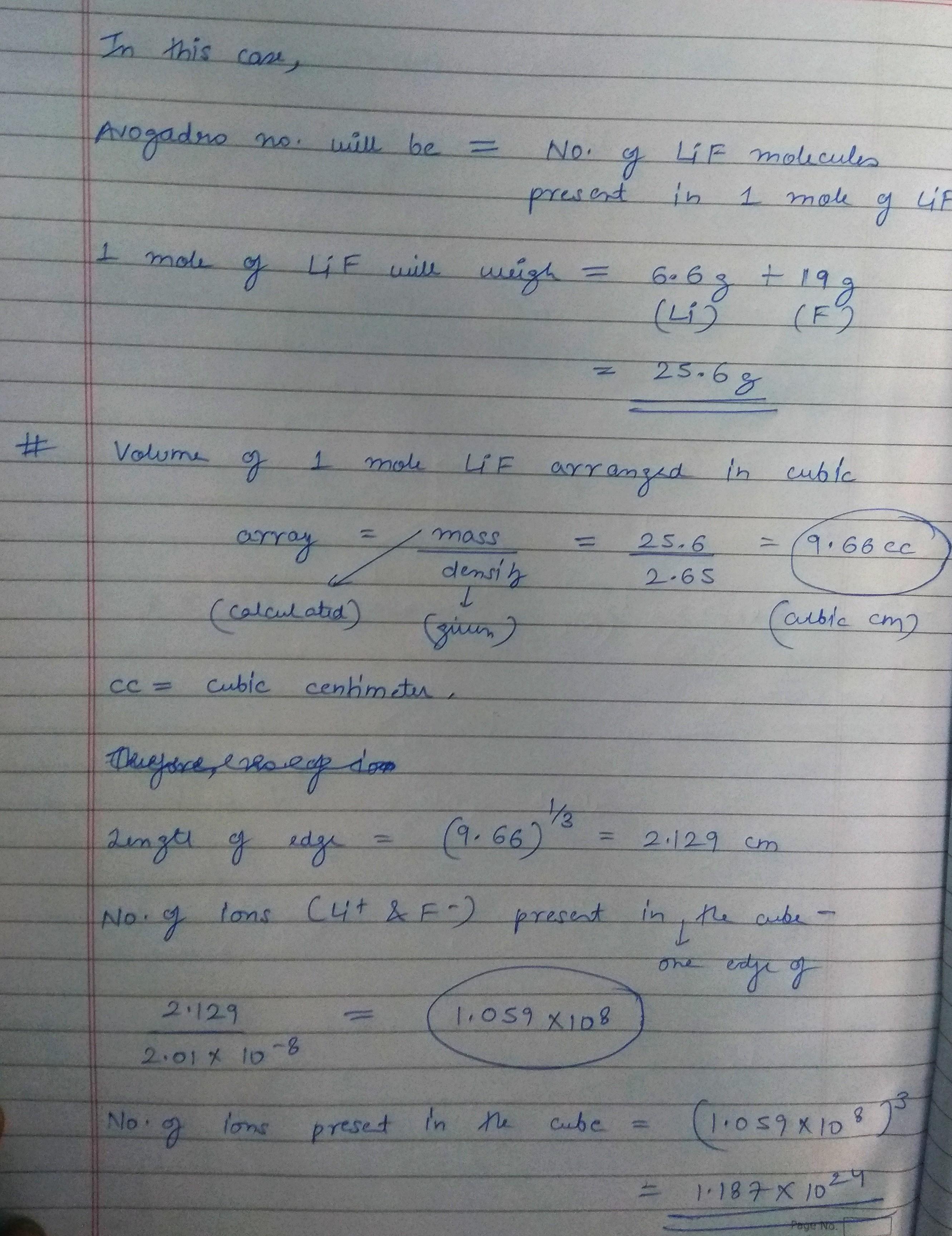
In this question, you have to devise to your practical knowledge of finding the edge length...'cc' was the catching point.
really sir for molecules we can't use density formuka
why
Because, if you look at the density formula, it has 'M' in it, which is atomic mass..you tell me, in molecules like LiF or CaF2 what will you take 'M'? it's not possible.
sir we take its molar mass for lif it's 25.6 grampermole
I send u a picture there they have used
this sir
Dear Shweta, here it is mentioned that CsCl has cubic structure..and we already know that CsCl has BCC type structure, where Cs is assumed to be at centre and Cl is at the corners...so, the overall contribution of Cs is 1 and Cl is 1 in a cubic crystal...that's why they have taken simply the molecular mass.