Time management is very much important in IIT JAM. The eduncle test series for IIT JAM Mathematical Statistics helped me a lot in this portion. I am very thankful to the test series I bought from eduncle.
Nilanjan Bhowmick AIR 3, CSIR NET (Earth Science)
>


Priyanshu kumar Best Answer
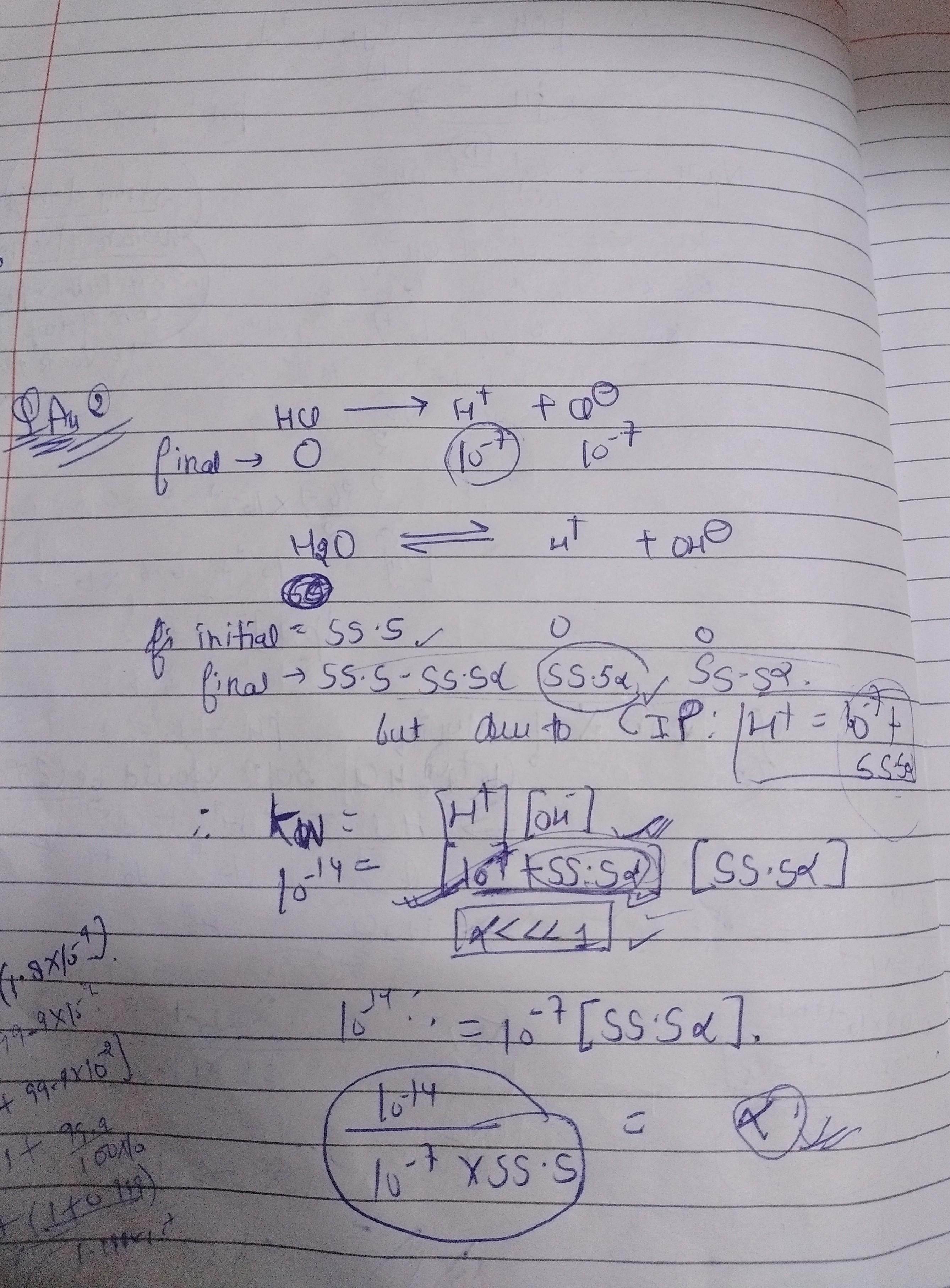
What's your doubt shweta....here first you find the degree of dissociation of water and then find the degree of dissociation when there is 10^-7 M HCL....and find the decrease in alpha in percentage
what's your doubt in this solution
sir we have to calculate dod of water
yes then you find na decrease
hai
sir
why are u taking HCl
hcl me dene pe kitta decrease hua wo nikalna hai na
first pure water ka nikale then hcl ke sath nikale
I have got alpha this
yes right
iske baad
kya krun
net decrease kaise
shweta once see my solution....
this is for pure water...
total h+ means
H20 ke case main bhi u took 1 * 10 ^ -7
means H+ from h20 and hcl
hcl ka bhi 10^-7 diya hai na
sir h2o Ka kyun lita 10 ^ -7
y**
ionic products me hote hai na h+ or oh- 10^-7
aa gya samagh Maine ache se solution check kiya
😊👍
alpha = square root(kw / c ) hota but aapne concentration Vali term likhi ni
??
Jo square root krke Likha m asking that
alpha= sqrt(dissociation constant/ molarity of pure water)
sir