Time management is very much important in IIT JAM. The eduncle test series for IIT JAM Mathematical Statistics helped me a lot in this portion. I am very thankful to the test series I bought from eduncle.
Nilanjan Bhowmick AIR 3, CSIR NET (Earth Science) 
		 
			 
			 
			 
			 
			 
			 
			 
			 
			 
 30 points
 30 points >
>
	 >
>
	 
			 
				 
				
 >
>
	 
				 
				 
 
 
 
             
            

 
                
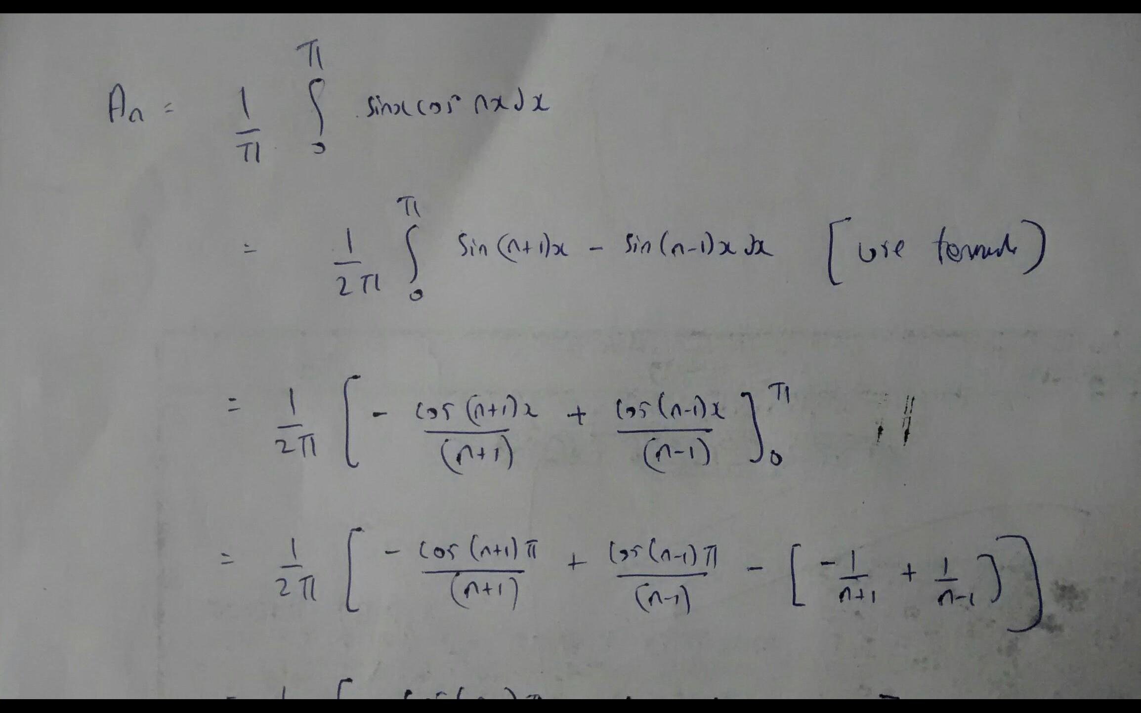
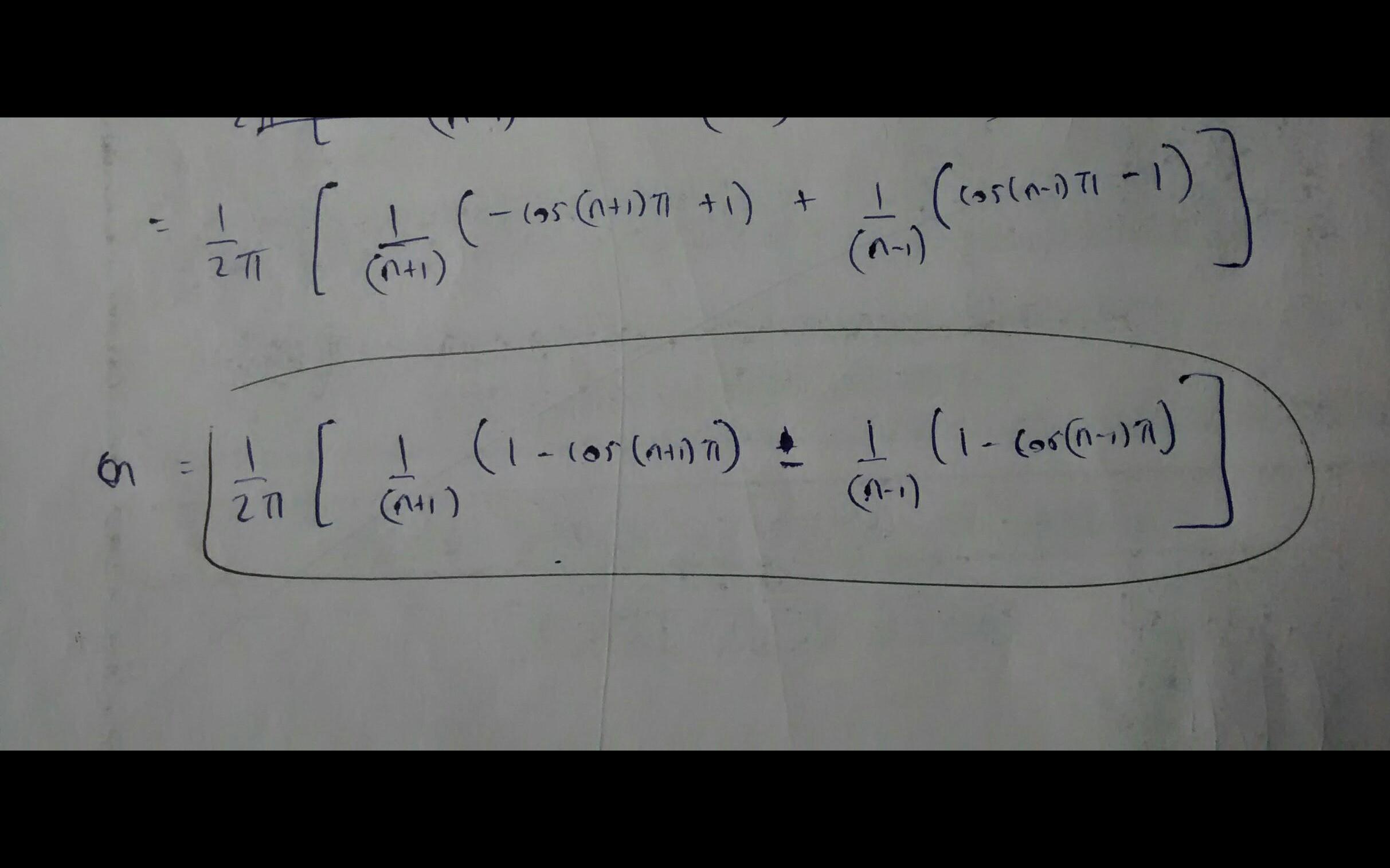
Ravi prakash yadav Best Answer
in step 1,they have simply expanded using formula for sin(a)cos(b)=(sin(b+a)+sin(b-a))/2. In step 2 they have simply integrated,but step 2 is written incorrect. See the attachment