Time management is very much important in IIT JAM. The eduncle test series for IIT JAM Mathematical Statistics helped me a lot in this portion. I am very thankful to the test series I bought from eduncle.
Nilanjan Bhowmick AIR 3, CSIR NET (Earth Science)
>



Suman Kumar
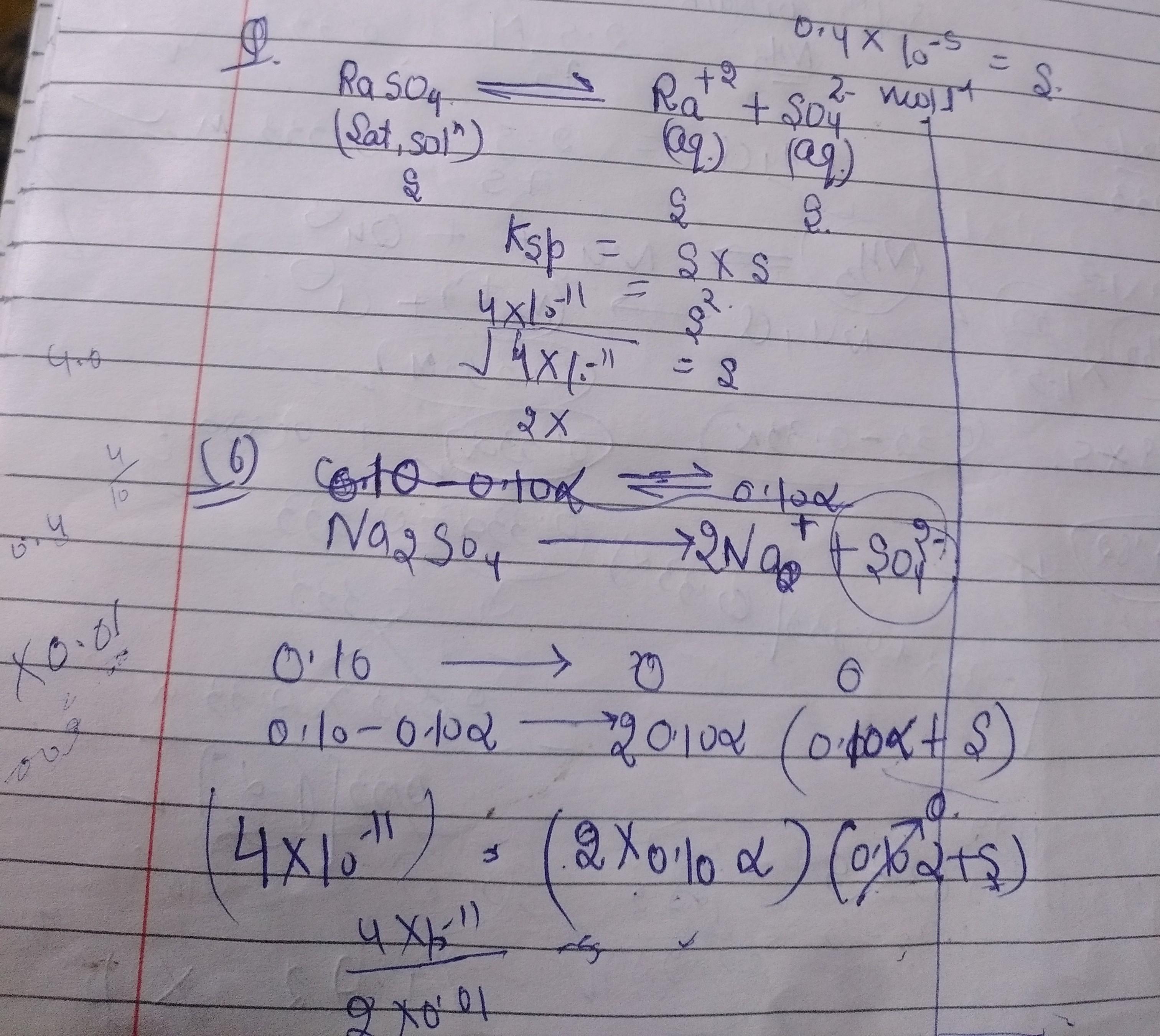
https://doubtnut.com/minute-question-answer/solubility-product-of-radium-sulphate-is-4xx10-1-what-will-be-the-solubility-of-ra2-in-010-m-naso4--23681864