Time management is very much important in IIT JAM. The eduncle test series for IIT JAM Mathematical Statistics helped me a lot in this portion. I am very thankful to the test series I bought from eduncle.
Nilanjan Bhowmick AIR 3, CSIR NET (Earth Science)
>



Deepak singh 1
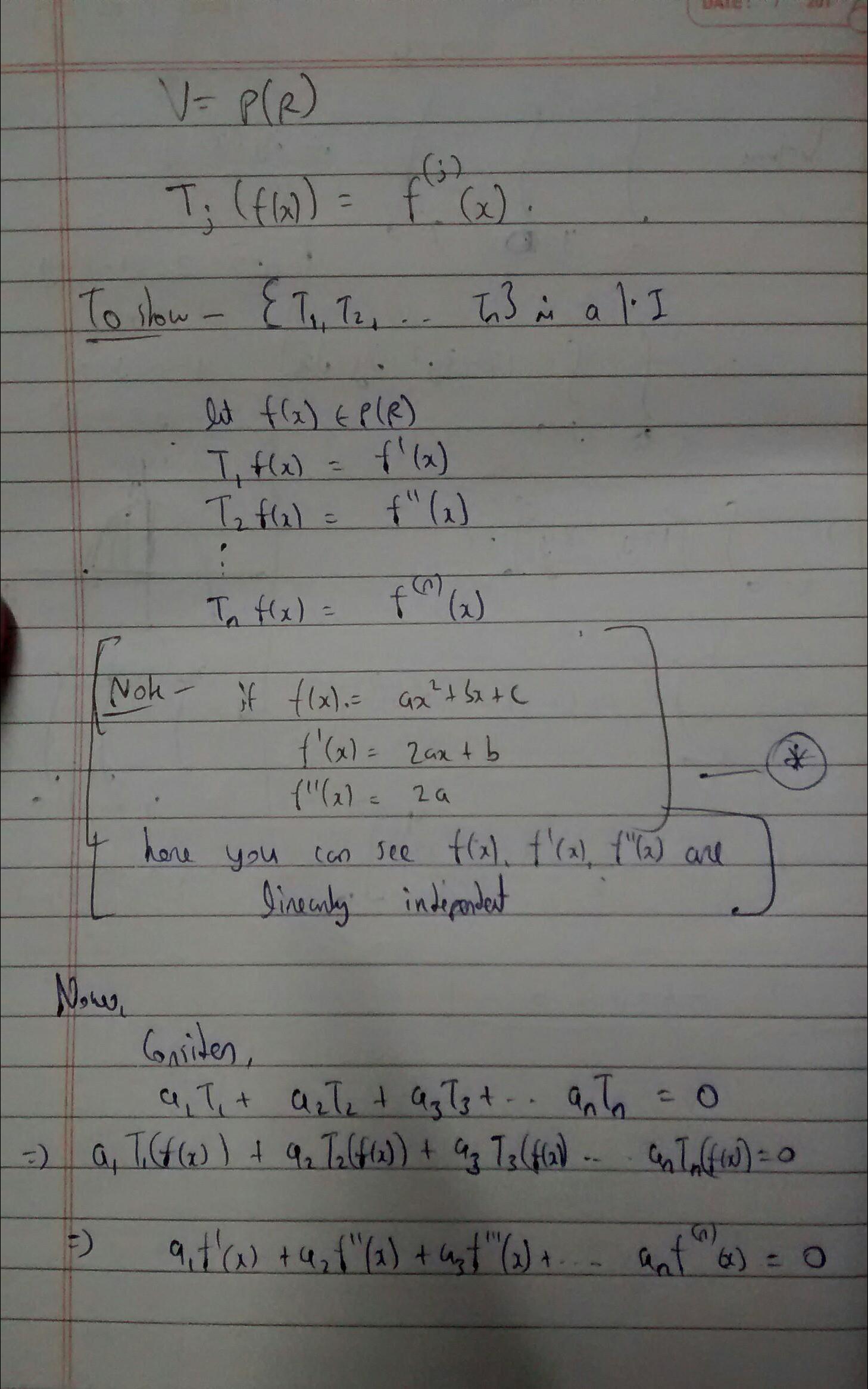
take general polynomial function of degree n, and find their n derivatives , all derivatives will be li..(check it ) , because there are no scalars (a) available such that f'(x) = a × f''(x)