Time management is very much important in IIT JAM. The eduncle test series for IIT JAM Mathematical Statistics helped me a lot in this portion. I am very thankful to the test series I bought from eduncle.
Nilanjan Bhowmick AIR 3, CSIR NET (Earth Science)
>


Dinesh khalmaniya 1 Best Answer
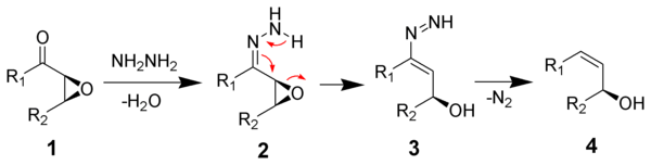
option C. Check below basic mechanism of epoxide ring opening by hydrazine
et3N and ch3cN ka role kya hai?
Ans kya diya he
A
check krke bata hu. because reference k according to C he
but sir reference mai et3N and cH3CN nahi dia hai
yes, but hydrazine/Base wolf kishner reduction dete he na.. or mechanism me carbonyl ki jgh negative charge bhi ata he or ye negative charge epoxide rung opening krta he
clemensen reduction mai hydrazine base nahi use hota hai na sir
wolf kishner mai hota hai
wait...
yes, it's wolf kishner reduction
ans kya hoga?
Ans C
but sir ch3cN ka kya role hai
aur d kyun nahi hoga
check how wolf kishner mechanism takes place
because epoxide dash pr diya he to OH dash pr hi to jayega