profile-img
Aman Kumar Yadav posted an MCQ
May 15, 2021 • 21:19 pm 30 points
  • IIT JAM
  • Mathematics (MA)

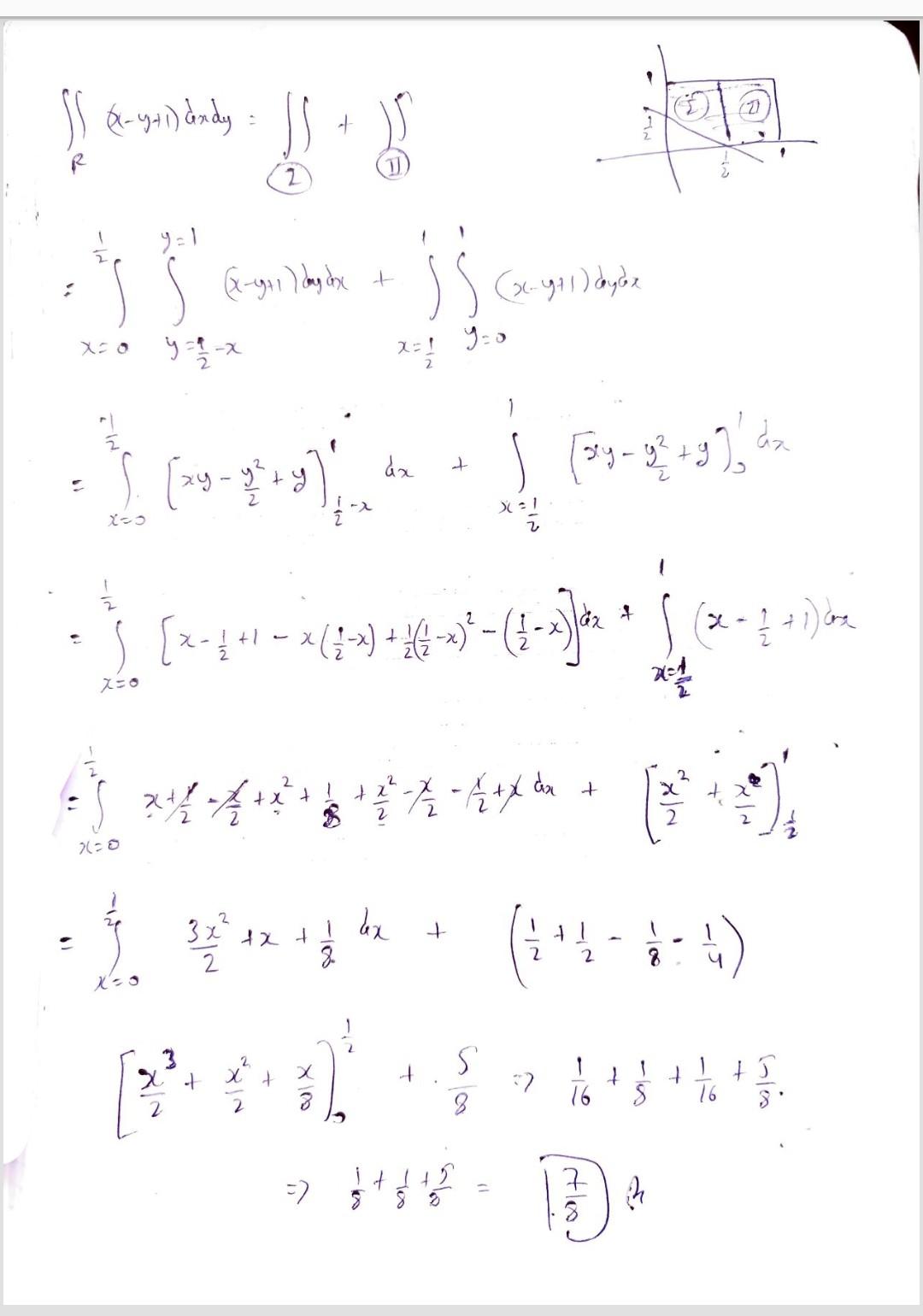
Plz solve this...................

Choose Your Answer:
1 Attempts Submit Now
  • 0 Likes
  • 1 Comments
  • 0 Shares
whatsapp-btn

Do You Want Better RANK in Your Exam?

Start Your Preparations with Eduncle’s FREE Study Material

  • Updated Syllabus, Paper Pattern & Full Exam Details
  • Sample Theory of Most Important Topic
  • Model Test Paper with Detailed Solutions
  • Last 5 Years Question Papers & Answers