Time management is very much important in IIT JAM. The eduncle test series for IIT JAM Mathematical Statistics helped me a lot in this portion. I am very thankful to the test series I bought from eduncle.
Nilanjan Bhowmick AIR 3, CSIR NET (Earth Science)
>
>



Dinesh khalmaniya 1
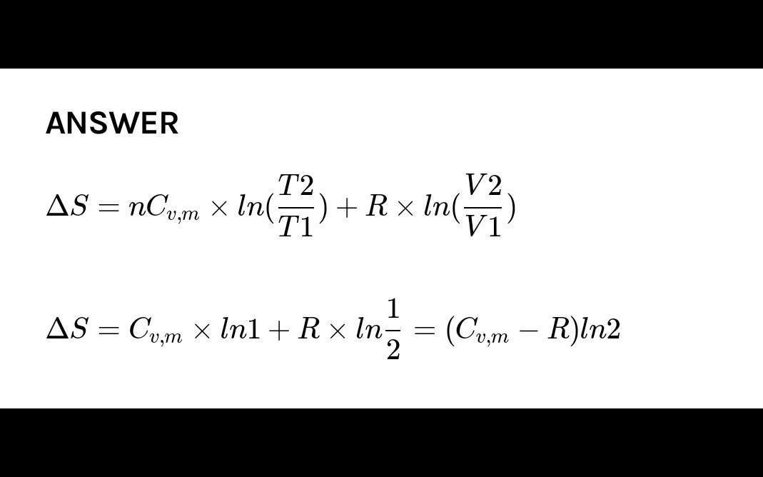
check solution
got it??
please accept the answer if you got it 🙏🙏
yes sir I just want to confirm the answer thanks sor
sir*
you welcome 🙏