Time management is very much important in IIT JAM. The eduncle test series for IIT JAM Mathematical Statistics helped me a lot in this portion. I am very thankful to the test series I bought from eduncle.
Nilanjan Bhowmick AIR 3, CSIR NET (Earth Science)
		
			
			
			
			
			
			
			
			
			
>
	
			
				
				
				
				
            
            

                
Bidyut sinha
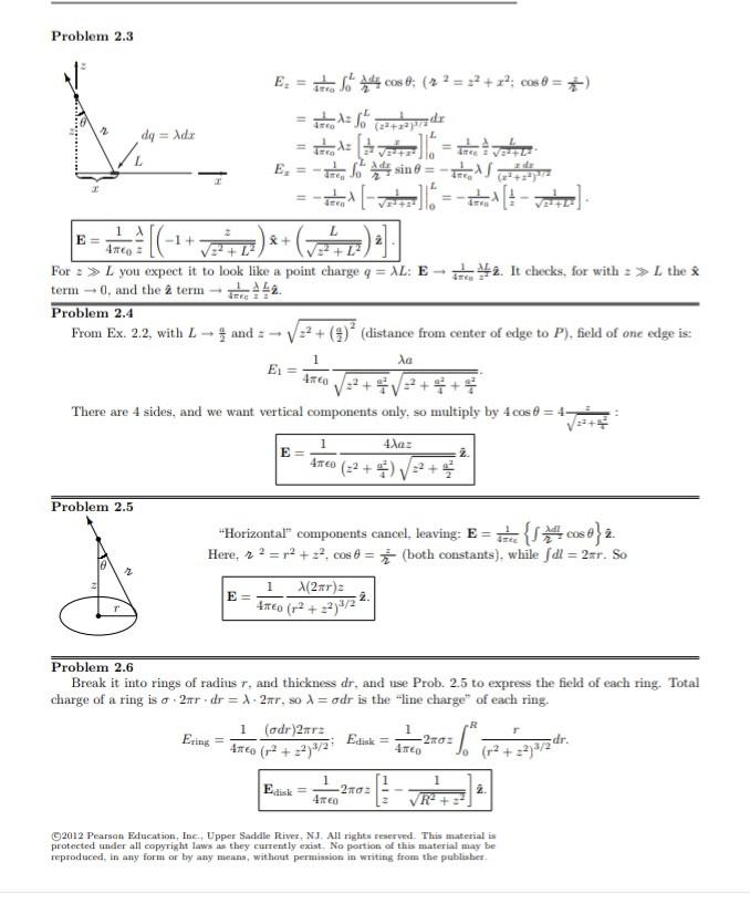
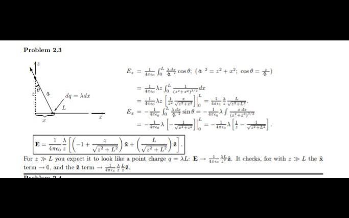
In the figure 2.7, it is considered a small length element dx at a distance x from the origin.Now if we consider line charge density (denoted by lambda) ,then z component & x component of electric field by integrating along 0 to L. Now for figure 2.8 we have applied this formula in case of square.. For each 4 length, Electric Field is 4E1 cos theta..
that means all the sin theta cancel out in fig. 2.8
yes in figure 2.8 , sin theta components are being cancelled.Only Cos theta components will be added up..All 4 cos theta components will be added and will give result 4E1 cos theta.. that's actually vertical components