Time management is very much important in IIT JAM. The eduncle test series for IIT JAM Mathematical Statistics helped me a lot in this portion. I am very thankful to the test series I bought from eduncle.
Nilanjan Bhowmick AIR 3, CSIR NET (Earth Science)
>
>
>



Ruby negi
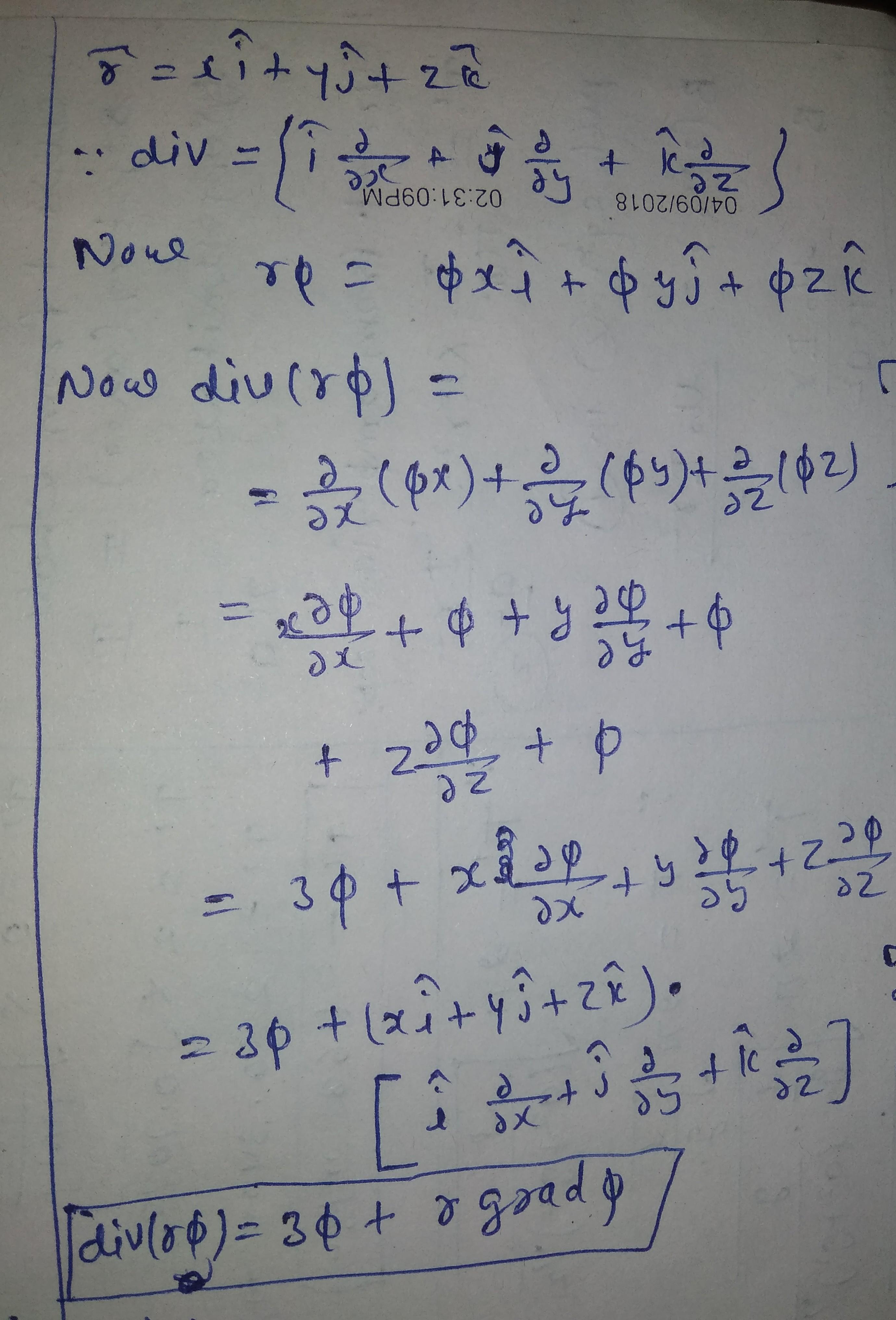
here is the solution... dear try to remember the identites Because these identities will help you in doing questions in easier way. . best regards, for any doubt u can ask.
try to remember the formulas or identities..