Time management is very much important in IIT JAM. The eduncle test series for IIT JAM Mathematical Statistics helped me a lot in this portion. I am very thankful to the test series I bought from eduncle.
Nilanjan Bhowmick AIR 3, CSIR NET (Earth Science)
>
>
>



Himanshu Pandey
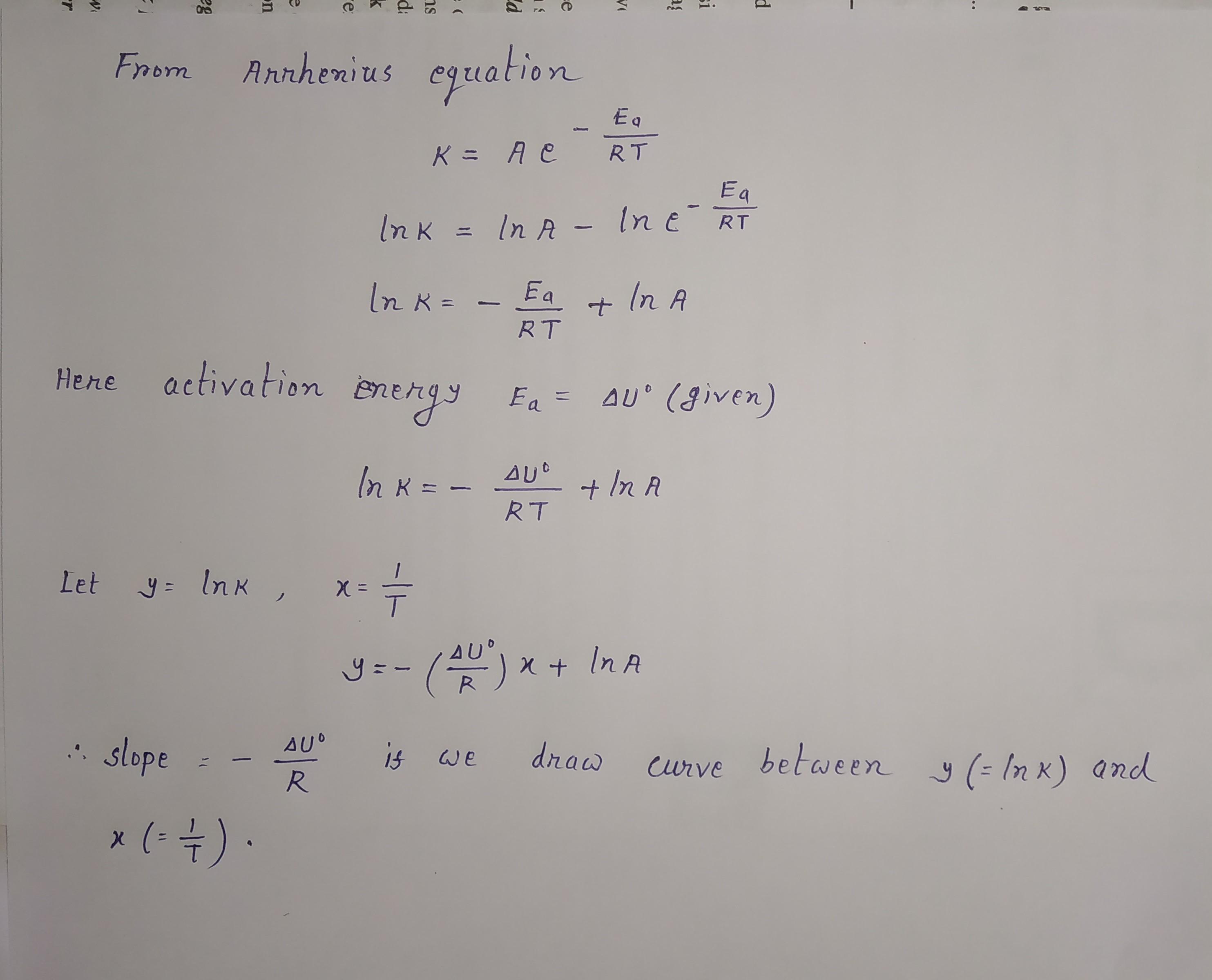
please clarify it is with Kp or Kc because as urs Kv is not in the option???
its Kc. I had written Kv by mistake.