Time management is very much important in IIT JAM. The eduncle test series for IIT JAM Mathematical Statistics helped me a lot in this portion. I am very thankful to the test series I bought from eduncle.
Nilanjan Bhowmick AIR 3, CSIR NET (Earth Science)
>
>



Dhairya sharma
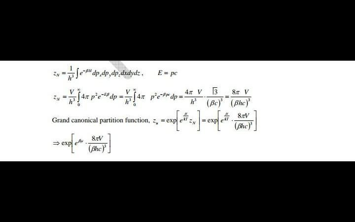
it's a simplest way just memorise this formula bcz you can find any partition fxn from this approach.in your exam you will get many questions from the same approach.