Time management is very much important in IIT JAM. The eduncle test series for IIT JAM Mathematical Statistics helped me a lot in this portion. I am very thankful to the test series I bought from eduncle.
Nilanjan Bhowmick AIR 3, CSIR NET (Earth Science)
>



Lov kumar
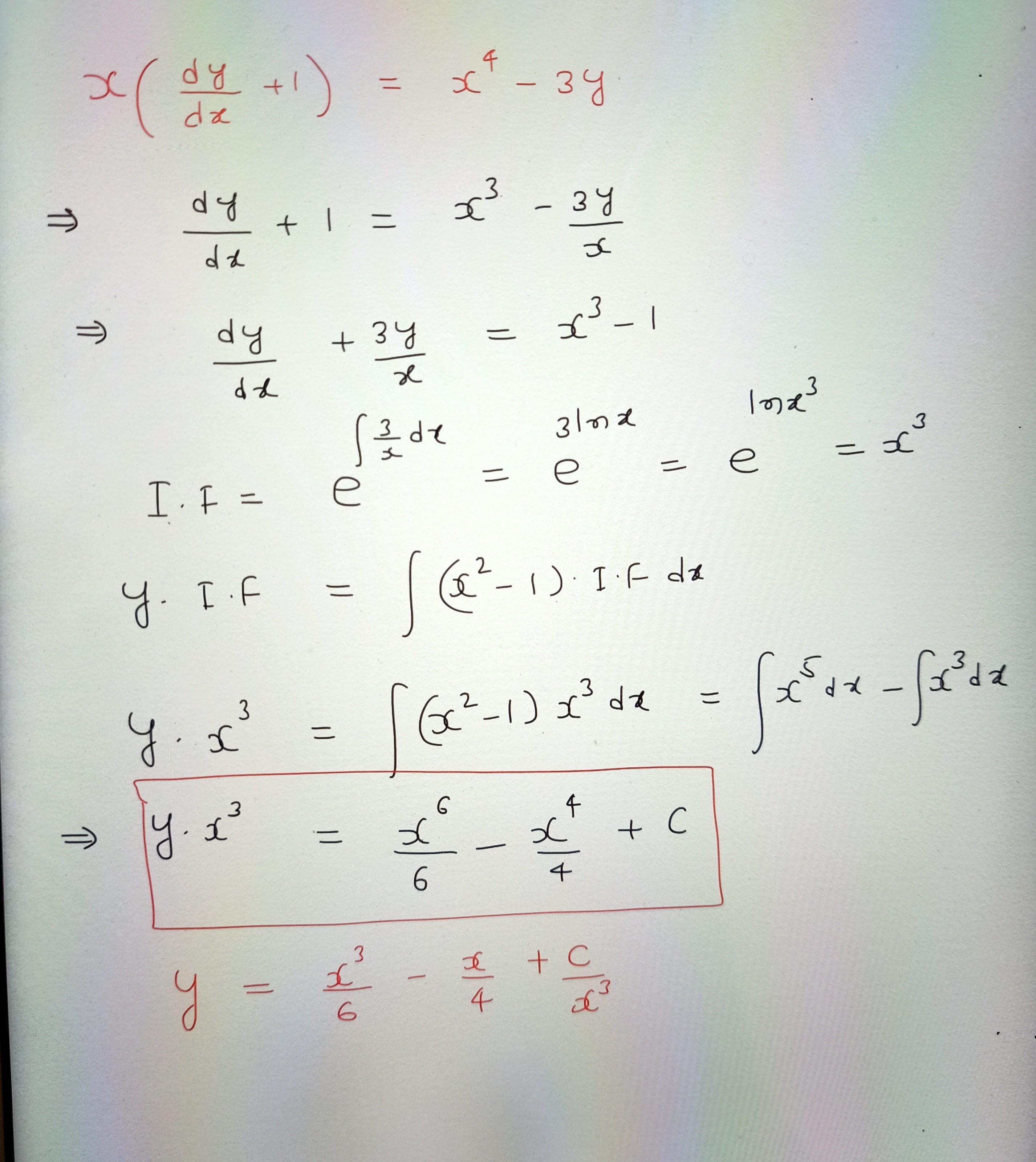
Answer:-3 (Use Linear differential equations)
q value is not correct
??? where is q ?
want to ask more question but can't able to post