Pradeep Jogsan posted an Question
October 11, 2021 • 03:50 am 30 points
  • IIT JAM
  • Physics (PH)

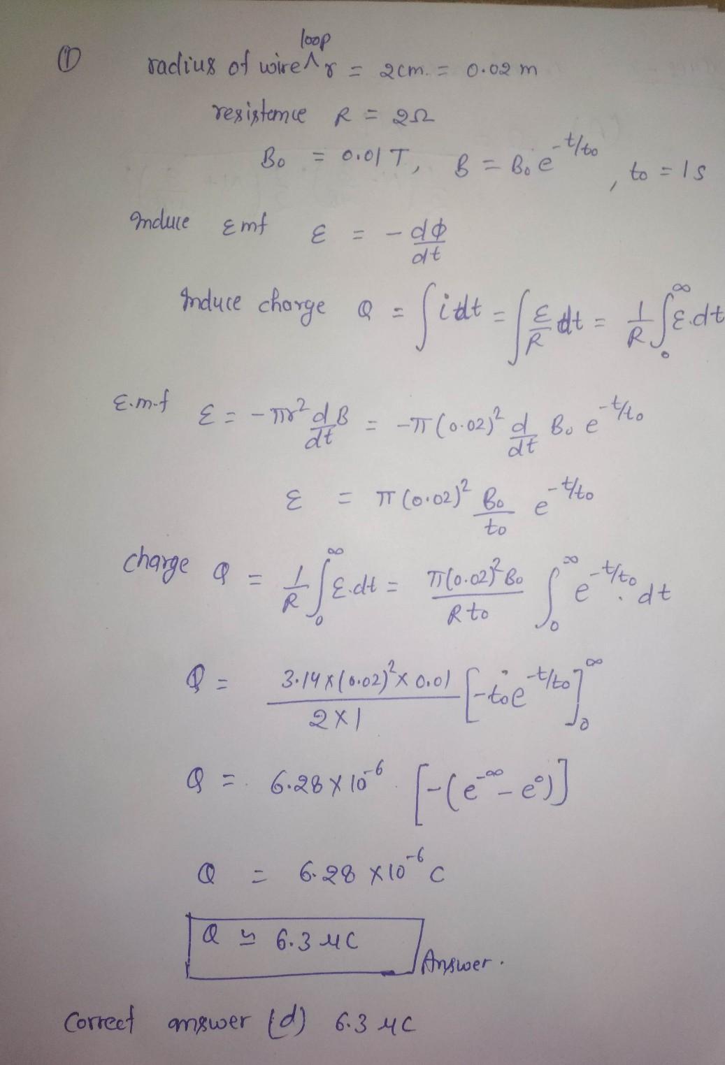
Q.23. a circular loop made of a thin wire has radius 2cm and resistance 20. it is placed perpendicular to a uniform magnetic field of magnitude b= 0.01 tesla. a

Q.23. A circular loop made of a thin wire has radius 2cm and resistance 20. It is placed perpendicular to a uniform magnetic field of magnitude B= 0.01 Tesla. At timet = 0 the field starts decaying as B Be-t/to, where to= 1s. The total charge that passes through a cross section of the wire during the decay is Q. The value of Q in uC (rounded off to two decimal places) is 0101

1 Answer(s) Answer Now
  • 0 Likes
  • 1 Comments
  • 0 Shares
whatsapp-btn

Do You Want Better RANK in Your Exam?

Start Your Preparations with Eduncle’s FREE Study Material

  • Updated Syllabus, Paper Pattern & Full Exam Details
  • Sample Theory of Most Important Topic
  • Model Test Paper with Detailed Solutions
  • Last 5 Years Question Papers & Answers