Time management is very much important in IIT JAM. The eduncle test series for IIT JAM Mathematical Statistics helped me a lot in this portion. I am very thankful to the test series I bought from eduncle.
Nilanjan Bhowmick AIR 3, CSIR NET (Earth Science)
>

>


Dinesh khalmaniya 1 Best Answer
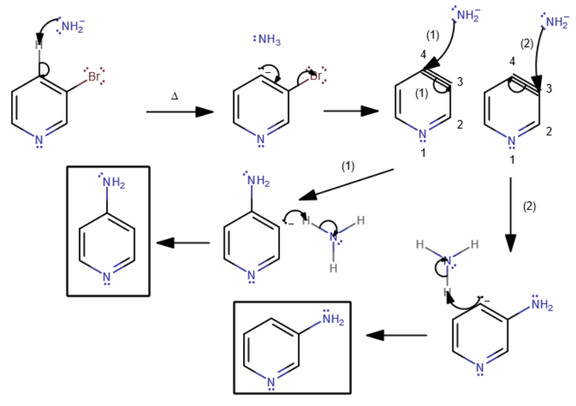
Recall that sodium amide is NaNH2 , which means that you have NH−2 in solution, a very good base (conjugate base of ammonia, whose pKa was 36!), and usually a very good nucleophile. If you recall, it can generate the benzyne intermediate in a nucleophilic aromatic substitution reaction with a halobenzene. For 3-bromopyridine, carbon-3 is meta to the nitrogen (two atoms away), since you start counting from the nitrogen. It's at that carbon that pyridine is reactive (try adding an electrophile to pyridine at carbon-3, such that carbon-4 is positively-charged, and drawing resonance structures. Recall that the lone pair on nitrogen is not in the ring). When pyridine is to react, heat is required to catalyze this reaction, since pyridine has a more activated ring due to the nitrogen atom (and hence is less reactive to nucleophilic aromatic substitution as a result). You have a very strong base, which abstracts a proton off of a carbon adjacent to the leaving group. A benzyne intermediate is generated when bromide leaves. This intermediate can be attacked on either carbon-3 or carbon-4, giving you both possible products. Path 1 gives you 4-aminopyridine, and path 2 gives you 3-aminopyridine. The mechanism finishes when the basic reactant donates electrons to acquire a proton and regenerate the reactant NH−2. This is obviously hard (you're generating an extremely strong base, which prefers not to be free!), so it's one of the reasons why heat is needed.
got it??