Time management is very much important in IIT JAM. The eduncle test series for IIT JAM Mathematical Statistics helped me a lot in this portion. I am very thankful to the test series I bought from eduncle.
Nilanjan Bhowmick AIR 3, CSIR NET (Earth Science)
>


Deepak singh 1 Best Answer
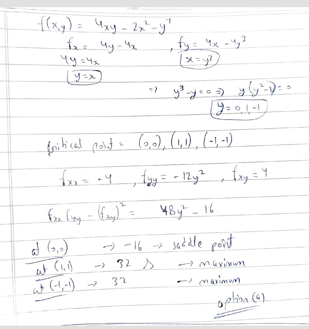
Refer attachment
why????
because x=y
i got my ans .. thanks
... sir at (-1,-1) the function is giving the same maximum value as in (1,1)... my question is if in option it is given that 2 maximum points and a saddle point ... is the option will be correct or not?????
yes , you are correct . then your option should be correct .