Time management is very much important in IIT JAM. The eduncle test series for IIT JAM Mathematical Statistics helped me a lot in this portion. I am very thankful to the test series I bought from eduncle.
Nilanjan Bhowmick AIR 3, CSIR NET (Earth Science)
>
>



Deepak singh 1 Best Answer
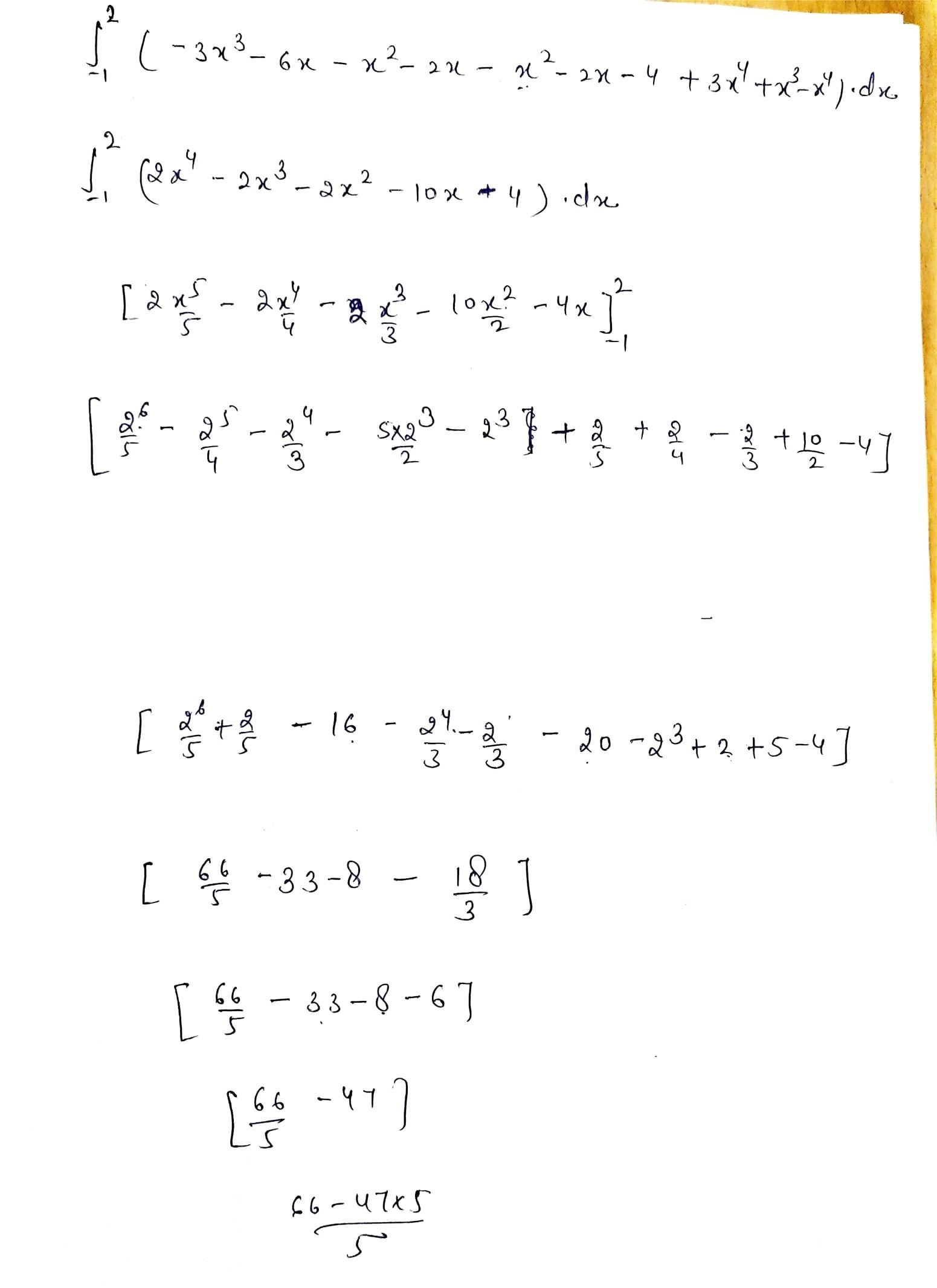
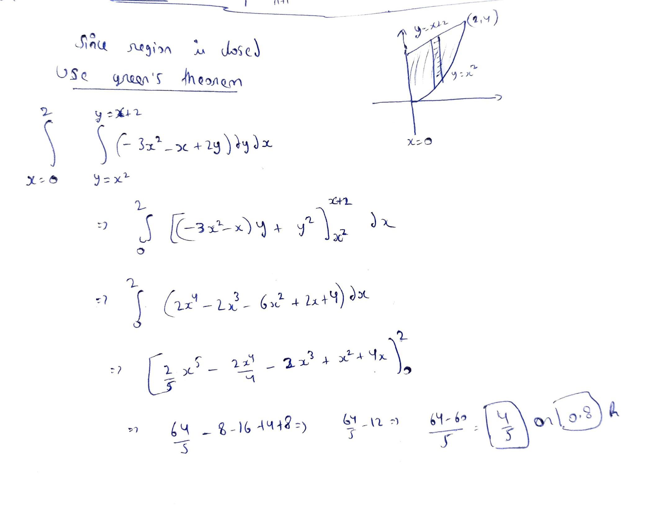
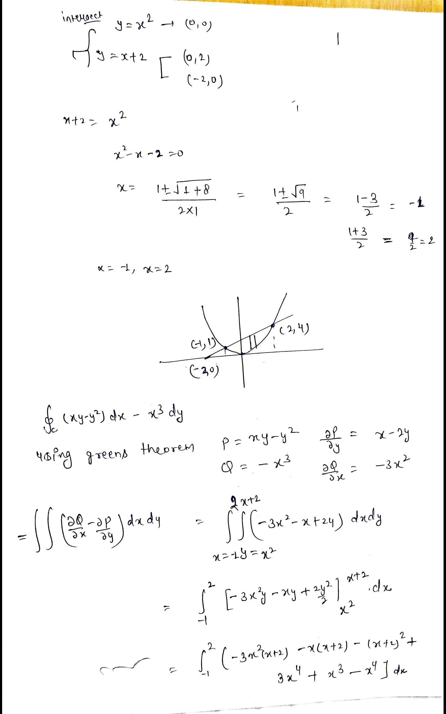
see attached solution answer is 0.8 if any doubt then reply
is this solution incorrect ? can you check if you have answer key ..
O.8 is the correct answer
thanks for confirmation