Time management is very much important in IIT JAM. The eduncle test series for IIT JAM Mathematical Statistics helped me a lot in this portion. I am very thankful to the test series I bought from eduncle.
Nilanjan Bhowmick AIR 3, CSIR NET (Earth Science)


Jeevesh magnani Best Answer
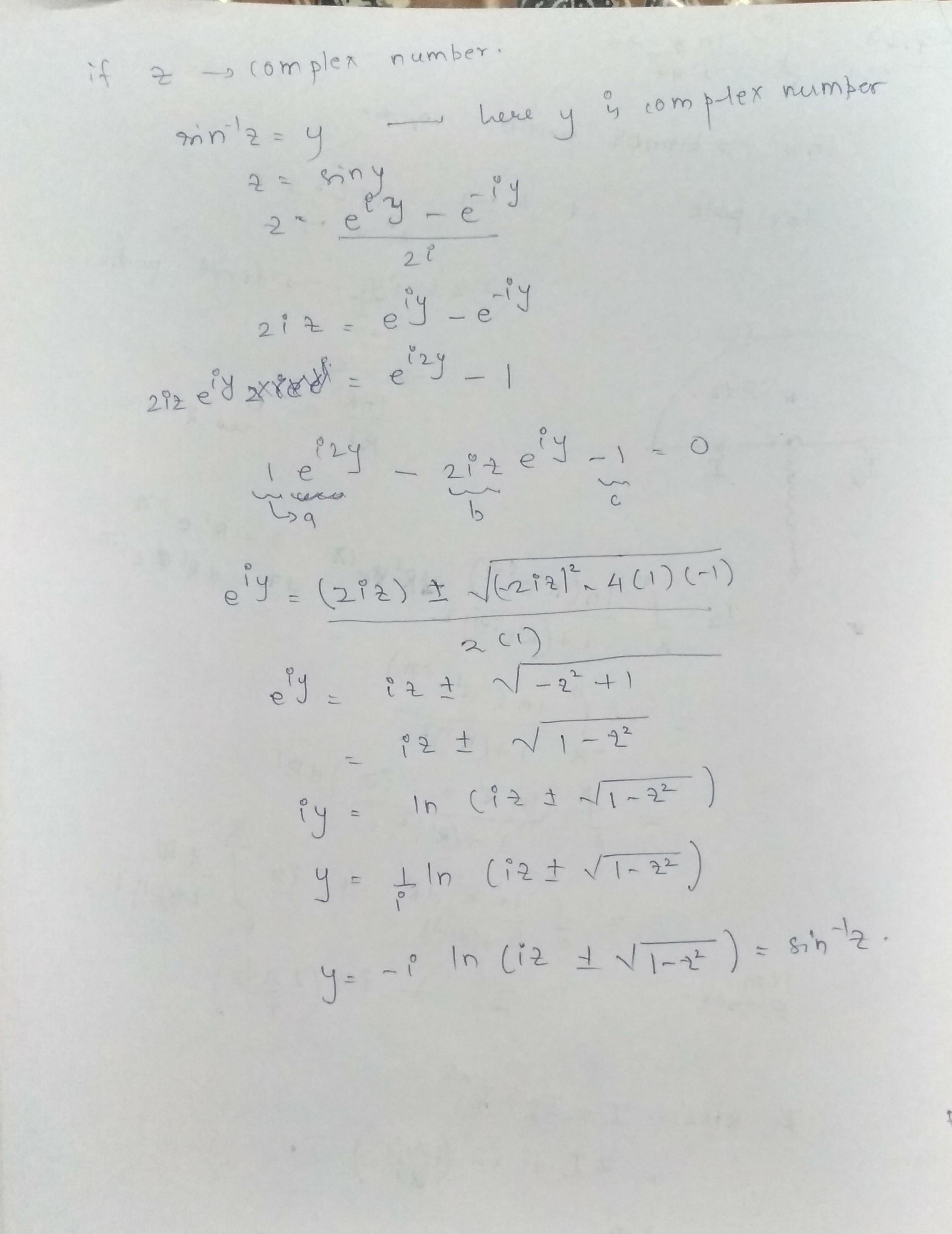
please see the attachment for details. I would advice, after seeing the solution do solve for cos-1(z), which will help you clear your concept.