profile-img
Deepak Patra posted an Question
December 04, 2021 • 15:23 pm 30 points
  • IIT JAM
  • Mathematics (MA)

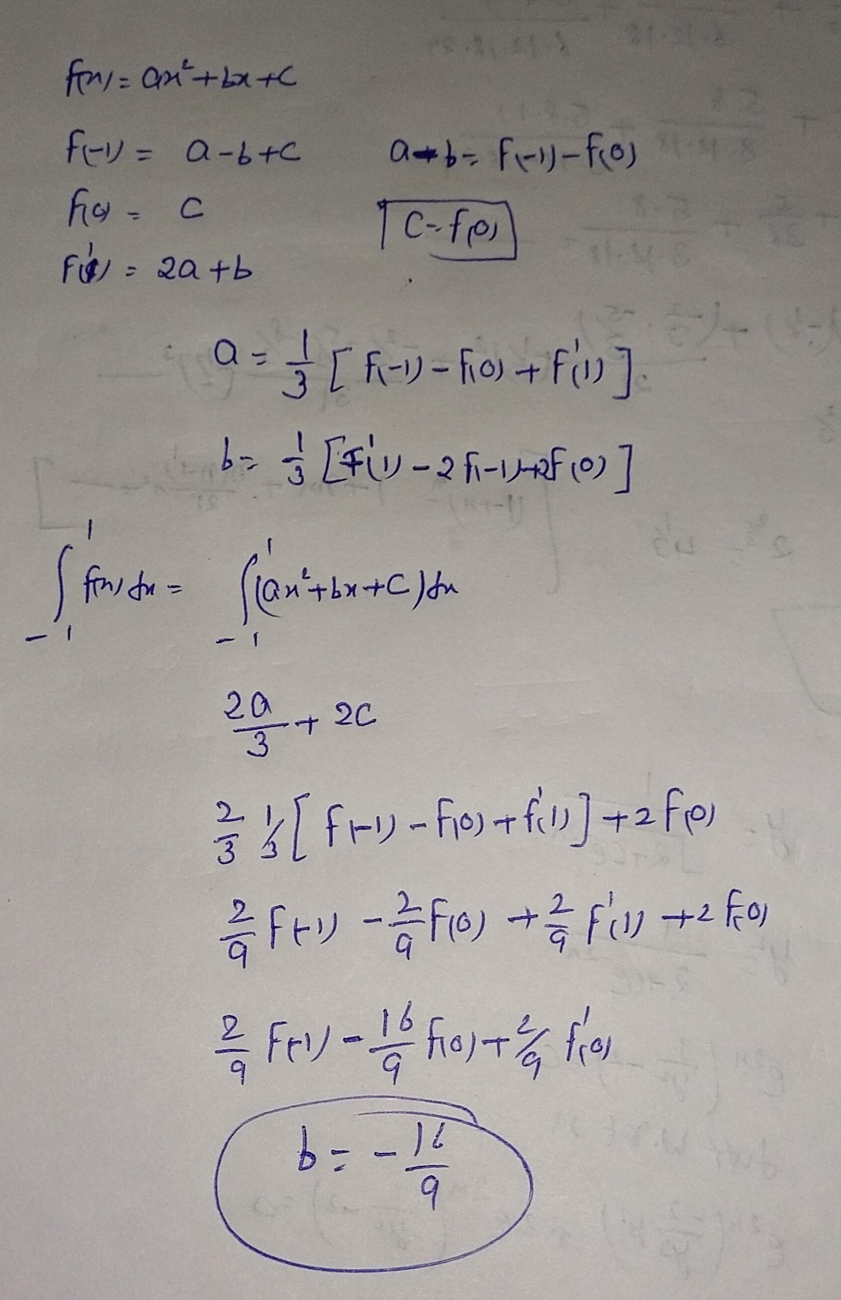
Q.no. 19 let a, b, c e r be such that the quadrature rulee f)dx af(-1) + bf0) + cf'(1) is exact for all polynomials of degree less than or equal to 2. then b is

Q.No. 19 Let a, b, c E R be such that the quadrature rulee f)dx af(-1) + bf0) + cf'(1) is exact for all polynomials of degree less than or equal to 2. Then b is equal (rounded off to two decimal places)

1 Answer(s) Answer Now
  • 0 Likes
  • 1 Comments
  • 0 Shares
whatsapp-btn

Do You Want Better RANK in Your Exam?

Start Your Preparations with Eduncle’s FREE Study Material

  • Updated Syllabus, Paper Pattern & Full Exam Details
  • Sample Theory of Most Important Topic
  • Model Test Paper with Detailed Solutions
  • Last 5 Years Question Papers & Answers