Time management is very much important in IIT JAM. The eduncle test series for IIT JAM Mathematical Statistics helped me a lot in this portion. I am very thankful to the test series I bought from eduncle.
Nilanjan Bhowmick AIR 3, CSIR NET (Earth Science)
>
>


Mayank vedwal Vedwal Best Answer
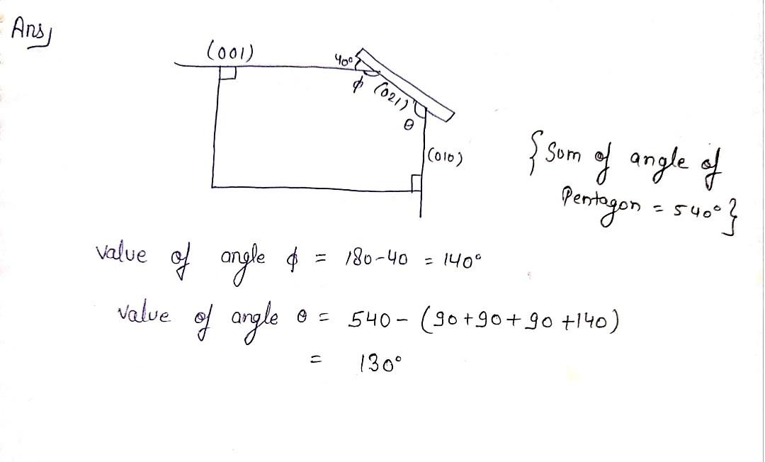
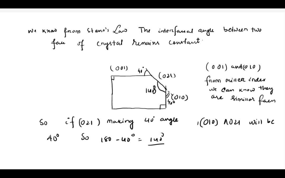
interfacial angle is the angle between two faces and interior angle is the angle which lie within the area covered by polygon. Here the internal angle and interfacial angle same for (021) and (010) faces.... This question was asked in iit jam 2016 paper where answer is given 140° but i confirmed with my seniors and with professor , according to them also answer is 130°
thanks Mayank bhaiya..I also was confused little bit.
welcome 😊