profile-img
Deepak Patra posted an Question
December 07, 2021 • 04:22 am 30 points
  • IIT JAM
  • Mathematics (MA)

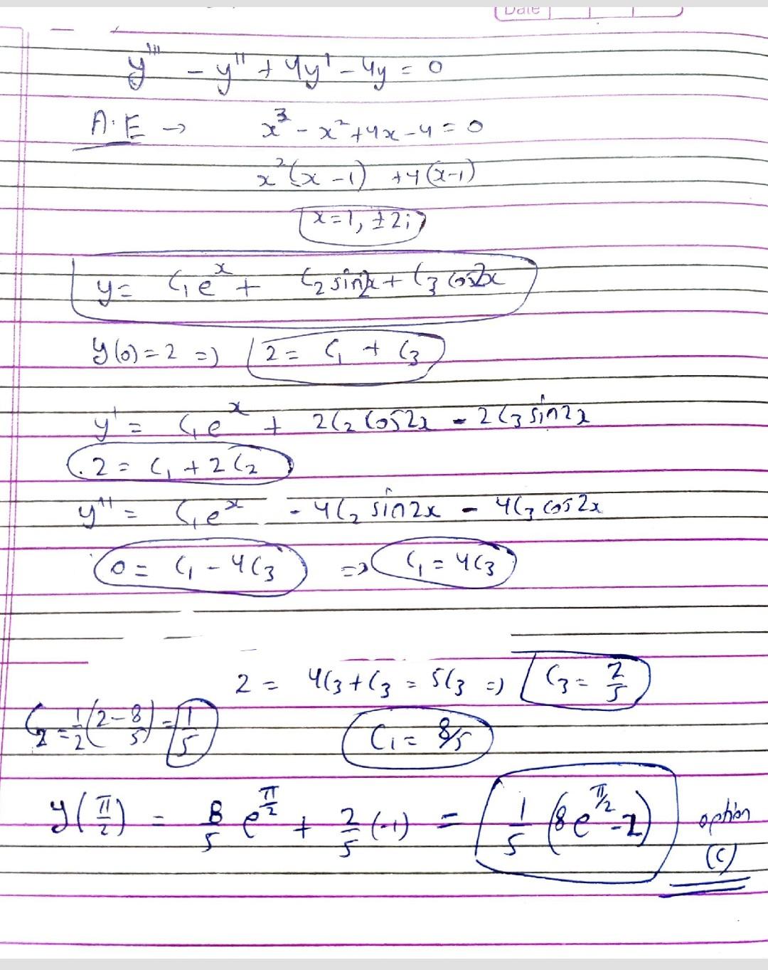
Q5 let y(x) be the solution of the initial value problem y'"" - y +4y'-4y 0, y(0) = y'(0) = 2, y "(0) = 0. then the value of y is [gate 2010 a)4e-6 )6e-4 (d8e?+

Q5 Let y(x) be the solution of the initial value problem y'"" - y +4y'-4y 0, y(0) = y'(0) = 2, y "(0) = 0. Then the value of y is [GATE 2010 a)4e-6 )6e-4 (d8e?+2|

1 Answer(s) Answer Now
  • 0 Likes
  • 1 Comments
  • 0 Shares
whatsapp-btn

Do You Want Better RANK in Your Exam?

Start Your Preparations with Eduncle’s FREE Study Material

  • Updated Syllabus, Paper Pattern & Full Exam Details
  • Sample Theory of Most Important Topic
  • Model Test Paper with Detailed Solutions
  • Last 5 Years Question Papers & Answers