Time management is very much important in IIT JAM. The eduncle test series for IIT JAM Mathematical Statistics helped me a lot in this portion. I am very thankful to the test series I bought from eduncle.
Nilanjan Bhowmick AIR 3, CSIR NET (Earth Science)
>


Anshum Sharma
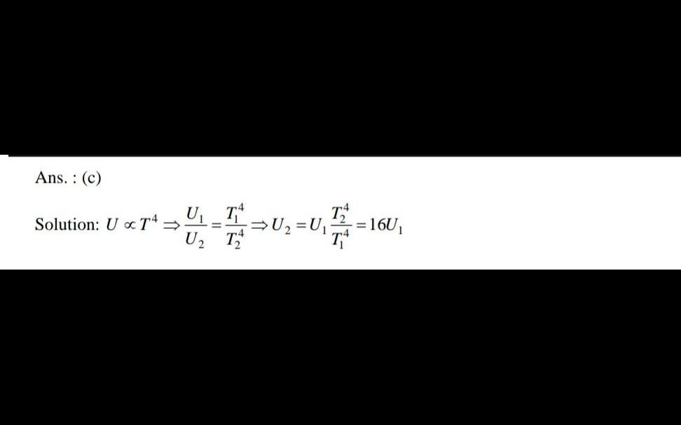
Option C is correct
answer given is d
stefan's law is for total energy radiated per unit time per unit volume , here they are asking for maximum value of spectral energy density
For the distribution of spectral density we use the Planck's Law But here they asked for Maximum value and it is derived by modifying Planck's law which is called stefan's-Boltazmann law, from where there is the relation between Spectral Energy and Temprature. That's why we use this formula.