Time management is very much important in IIT JAM. The eduncle test series for IIT JAM Mathematical Statistics helped me a lot in this portion. I am very thankful to the test series I bought from eduncle.
Nilanjan Bhowmick AIR 3, CSIR NET (Earth Science)
>
>

>


Dhairya sharma
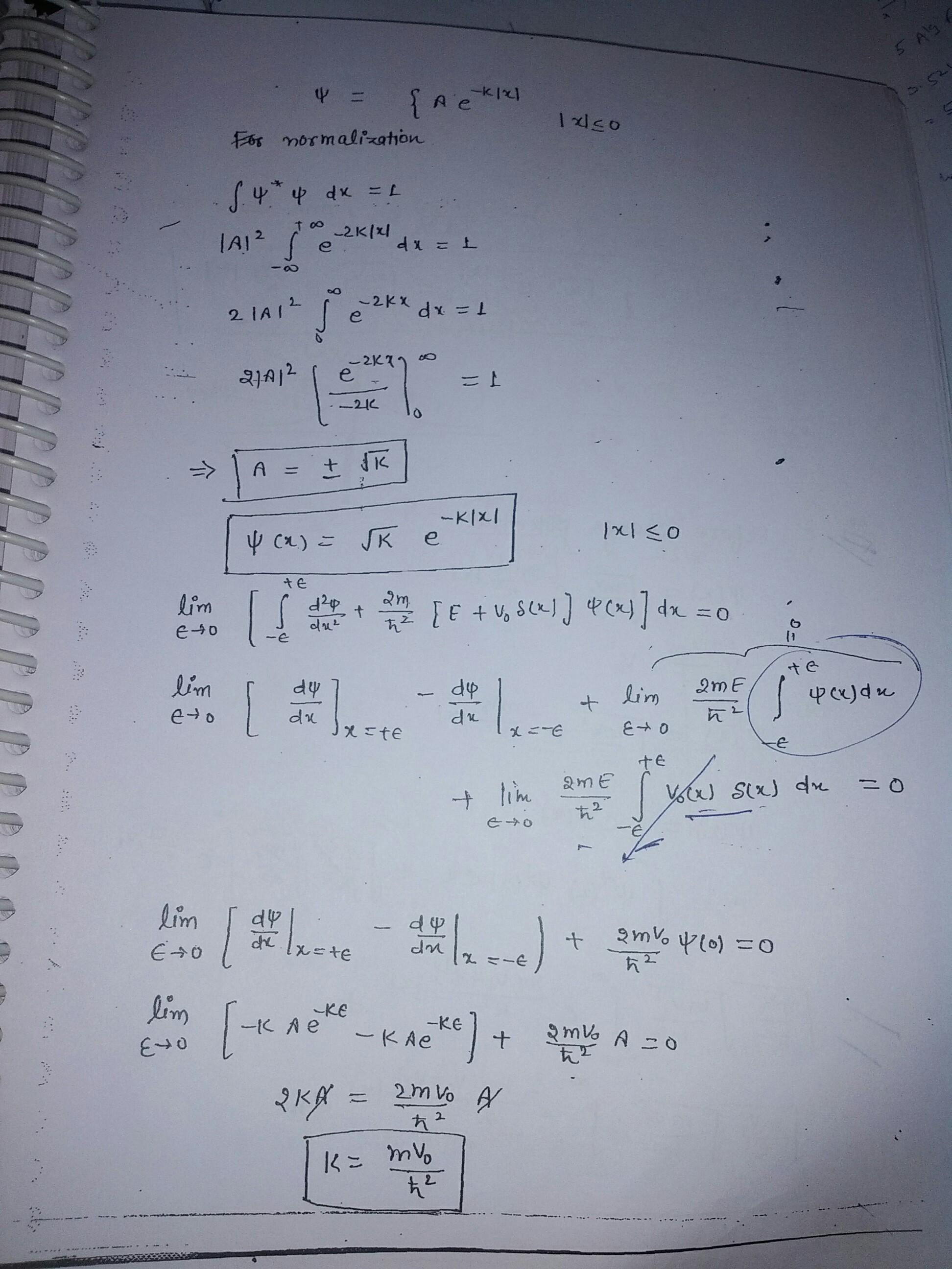
dear in nature every potential have different type of shape and wave function. if the wavefxn is the shape like your question that means it's subjected to the potential of dirac delta. dear we can find it by using boundary condition.
wf should vanish at infinte boundary
and have continuous at boundary
π
π