Time management is very much important in IIT JAM. The eduncle test series for IIT JAM Mathematical Statistics helped me a lot in this portion. I am very thankful to the test series I bought from eduncle.
Nilanjan Bhowmick AIR 3, CSIR NET (Earth Science)
>


D s kumar
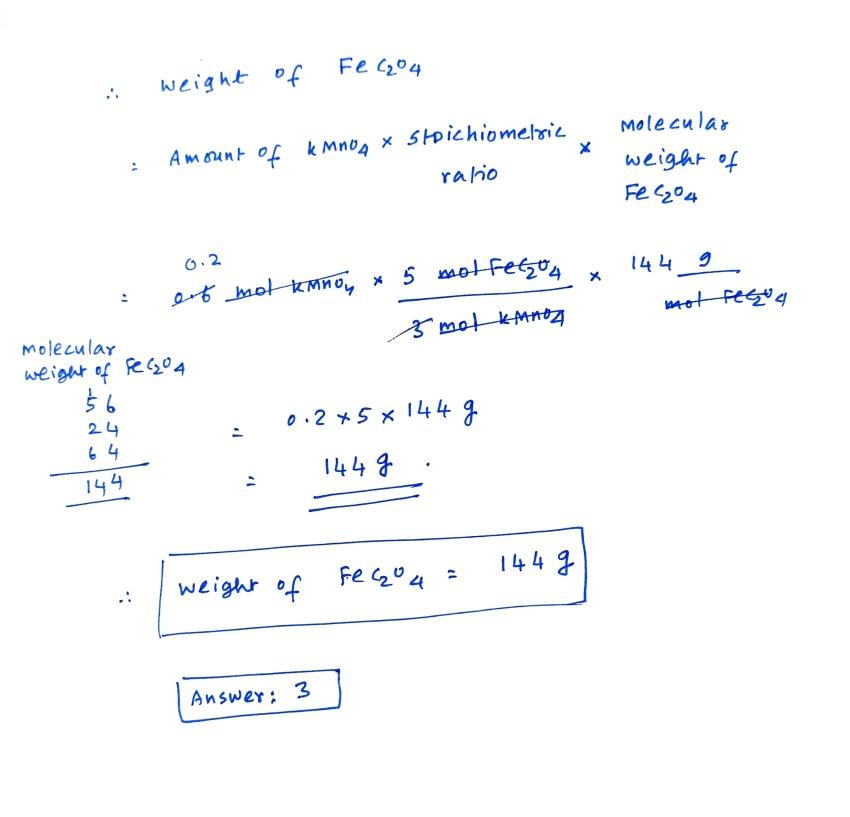
Answer : weight of Irom Oxalate = 144 g. Detailed explanation is given in the attached sheet.