Time management is very much important in IIT JAM. The eduncle test series for IIT JAM Mathematical Statistics helped me a lot in this portion. I am very thankful to the test series I bought from eduncle.
Nilanjan Bhowmick AIR 3, CSIR NET (Earth Science)
>


Amol ashok pawar
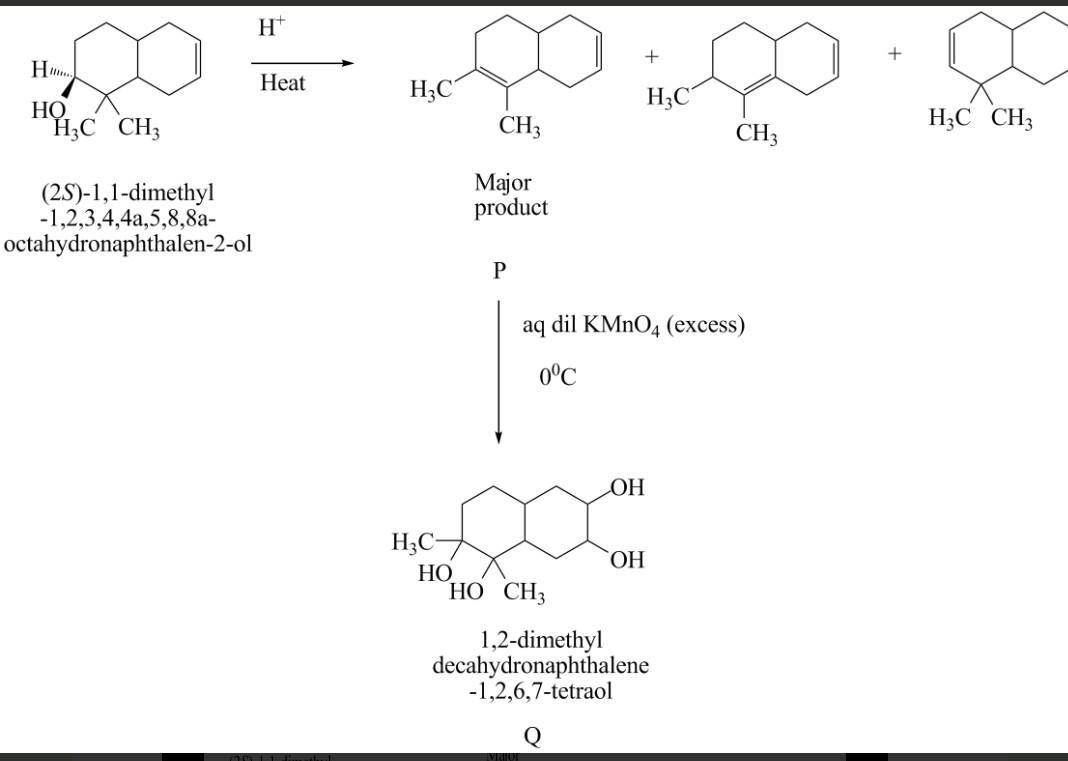
Number of hydroxyl groups in Q is 4. The first step is the acid catalyzed dehydration of alcohol to get product as alkene. In this reaction, secondary carbocation rearranges to tertiary carbocation to form more stable alkene. The next step is the dihydroxylation of two double bonds which introduces 4 -OH groups in the molecule.