Time management is very much important in IIT JAM. The eduncle test series for IIT JAM Mathematical Statistics helped me a lot in this portion. I am very thankful to the test series I bought from eduncle.
Nilanjan Bhowmick AIR 3, CSIR NET (Earth Science)
>
>
>


Rahul kumar
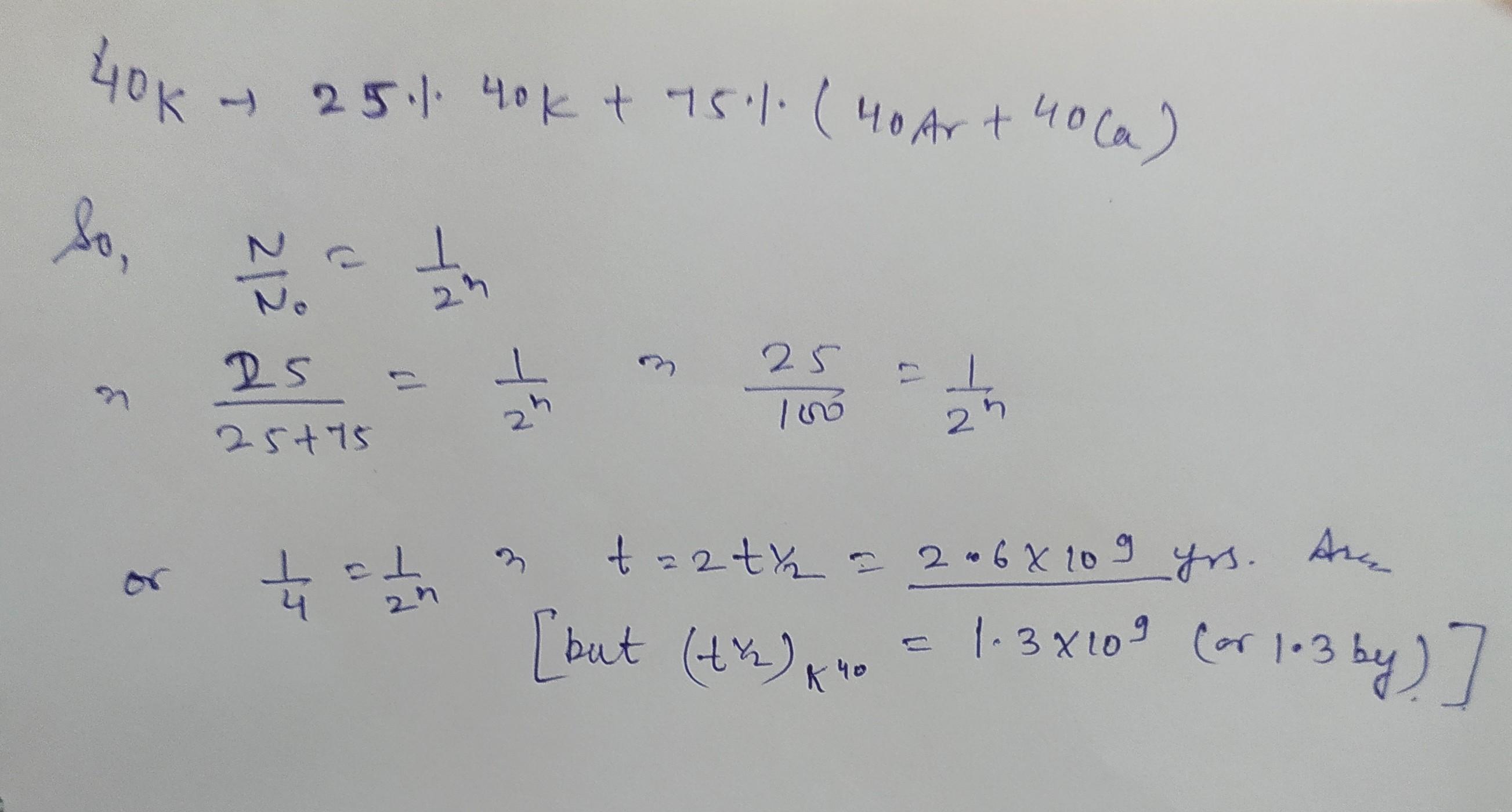
t1/2 of 40K is 1.3 Byrs; Fraction of parent Isotope and daughter Isotope given is 25%/75% = 1/3; Number of parent Isotope / Number of daughter Isotope = 1/3; So, two half lifes must have been elapsed (mentioned in your another question); Total time elapsed = 2 × half life = 2 × 1.3 = 2.6 Byrs