Time management is very much important in IIT JAM. The eduncle test series for IIT JAM Mathematical Statistics helped me a lot in this portion. I am very thankful to the test series I bought from eduncle.
Nilanjan Bhowmick AIR 3, CSIR NET (Earth Science)


Prashant kumar
Answer
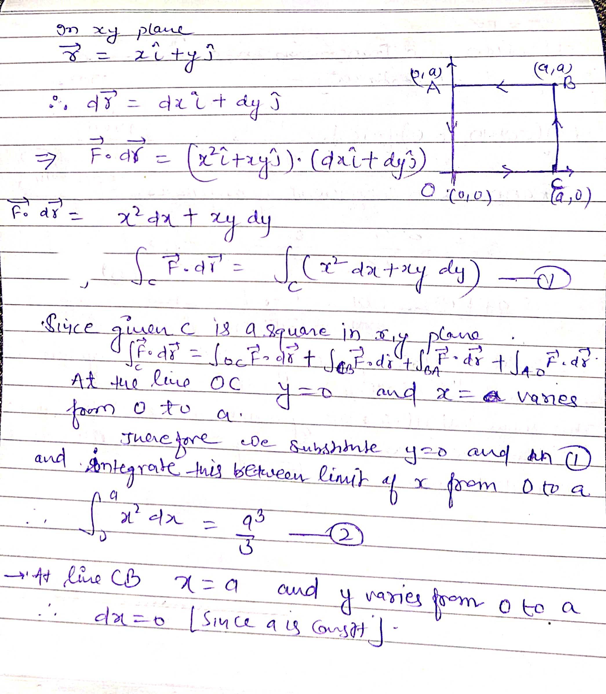
sir, how have you considered the anti clockwise direction in the above question. Can we assume clockwise??
When a particular direction is not given in question. There we consider anticlock wise director since as you see the value of r increase in positive way in anticlock wise direction For example when we go from (0,0) to ( 0,1) then (1,1) . Always remember when direction is not given we consider anticlock wise director. Also in( r, theta) coordinate it is direction of increasing theta same is also true in respect of Cartesian coordinate.