Time management is very much important in IIT JAM. The eduncle test series for IIT JAM Mathematical Statistics helped me a lot in this portion. I am very thankful to the test series I bought from eduncle.
Nilanjan Bhowmick AIR 3, CSIR NET (Earth Science)
>


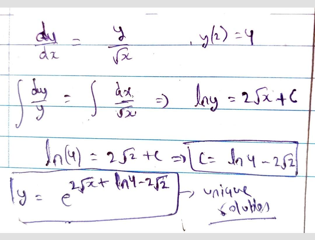
Deepak singh 1 Best Answer
Refer attached
how unique? for different values of x, I will have different y values in that way infinite solution.
Note - solution of a Differential equations are functions not points . Here we get unique function so had unique solution .