Jinesh Jain posted an Question
December 07, 2021 • 17:40 pm 30 points
  • IIT JAM
  • Mathematics (MA)

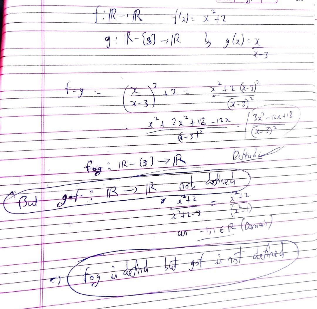
R>r e aaundier ly (t=t+2) r-3}r 20 t-3 and. (ge)ane defned 2 ale

R>R e aAundier ly (T=T+2) R-3}R 20 T-3 and. (ge)ane defned 2 Ale

1 Answer(s) Answer Now
  • 0 Likes
  • 1 Comments
  • 0 Shares
whatsapp-btn

Do You Want Better RANK in Your Exam?

Start Your Preparations with Eduncle’s FREE Study Material

  • Updated Syllabus, Paper Pattern & Full Exam Details
  • Sample Theory of Most Important Topic
  • Model Test Paper with Detailed Solutions
  • Last 5 Years Question Papers & Answers