Time management is very much important in IIT JAM. The eduncle test series for IIT JAM Mathematical Statistics helped me a lot in this portion. I am very thankful to the test series I bought from eduncle.
Nilanjan Bhowmick AIR 3, CSIR NET (Earth Science) 
		 
			 
			 
			 
			 
			 
			 
			 
			 
			 30 points
 30 points 
 
 
 
             
            

 
                
Anonymous User![best-answer]() 
			
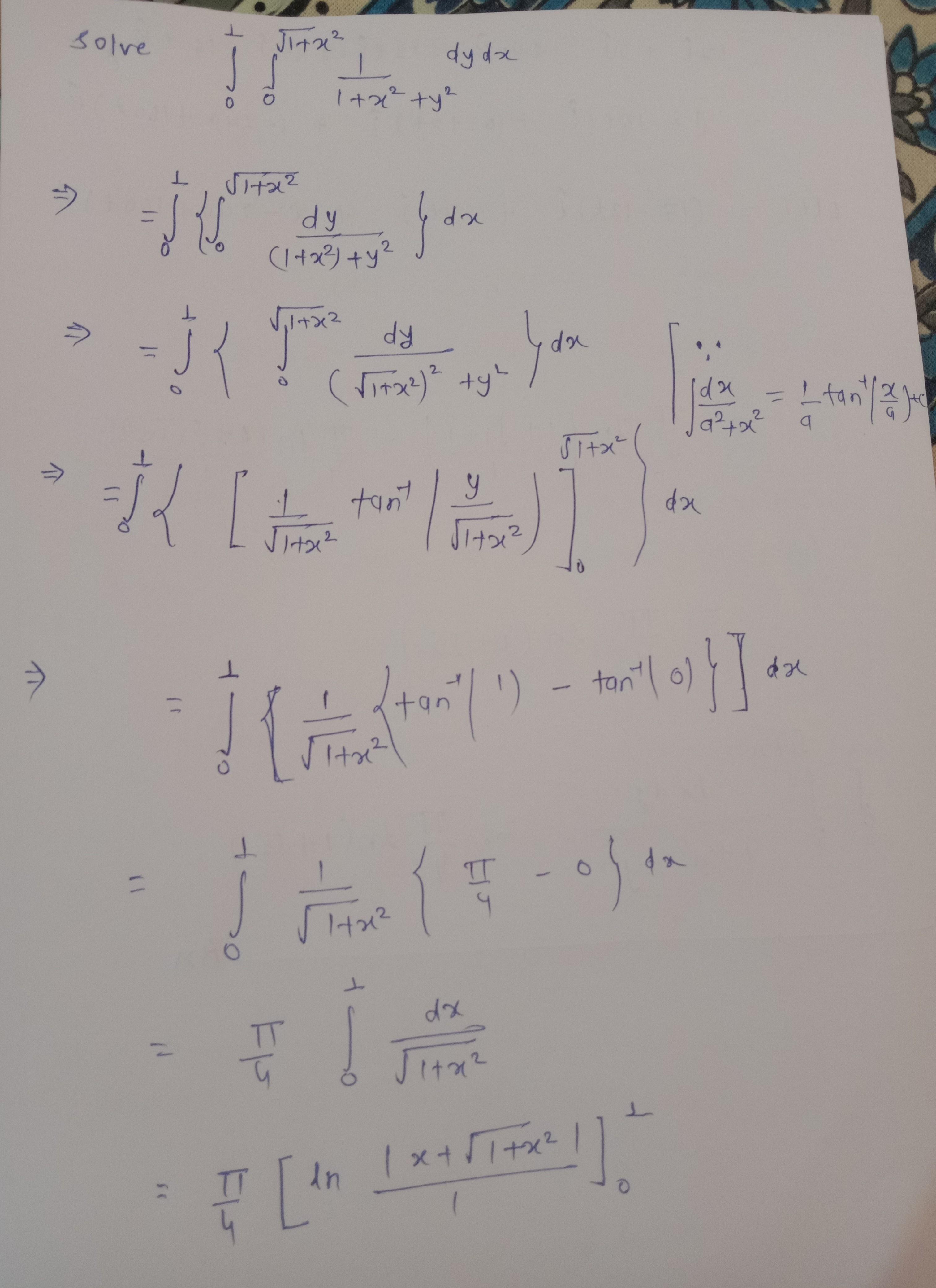
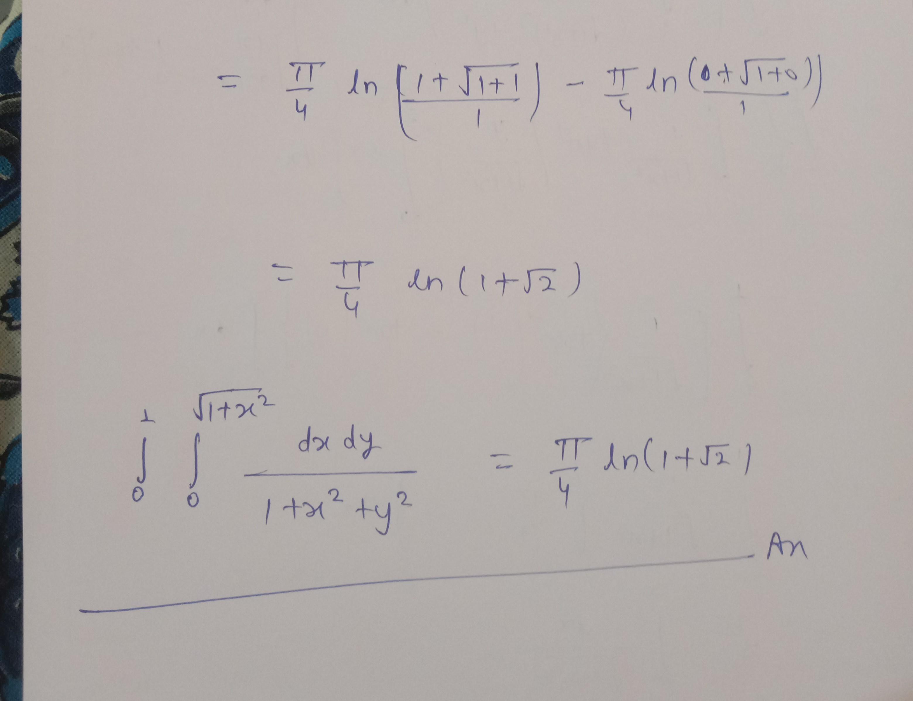
answer is attached below.
?
why can't we use the formula of tan inverse of x during second time integration, why is log taken?
I have already write in the side box . bcoz integration of 1/square root of (a^2+x^2) .dx ka formula mene use kiya h