Time management is very much important in IIT JAM. The eduncle test series for IIT JAM Mathematical Statistics helped me a lot in this portion. I am very thankful to the test series I bought from eduncle.
Nilanjan Bhowmick AIR 3, CSIR NET (Earth Science)



Srj
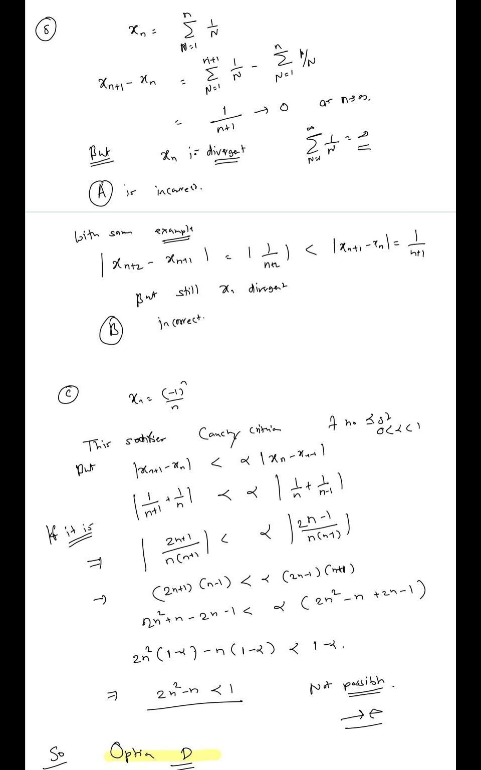
I was also suspecting that. actually I thought it was one option question.i have already metioned first and second are incorrect. third explaination I found error. pls ignore that. And always metioned MCQ or msq in question so that we can write anwer accordingly.