Time management is very much important in IIT JAM. The eduncle test series for IIT JAM Mathematical Statistics helped me a lot in this portion. I am very thankful to the test series I bought from eduncle.
Nilanjan Bhowmick AIR 3, CSIR NET (Earth Science)
>


Priyanshu kumar
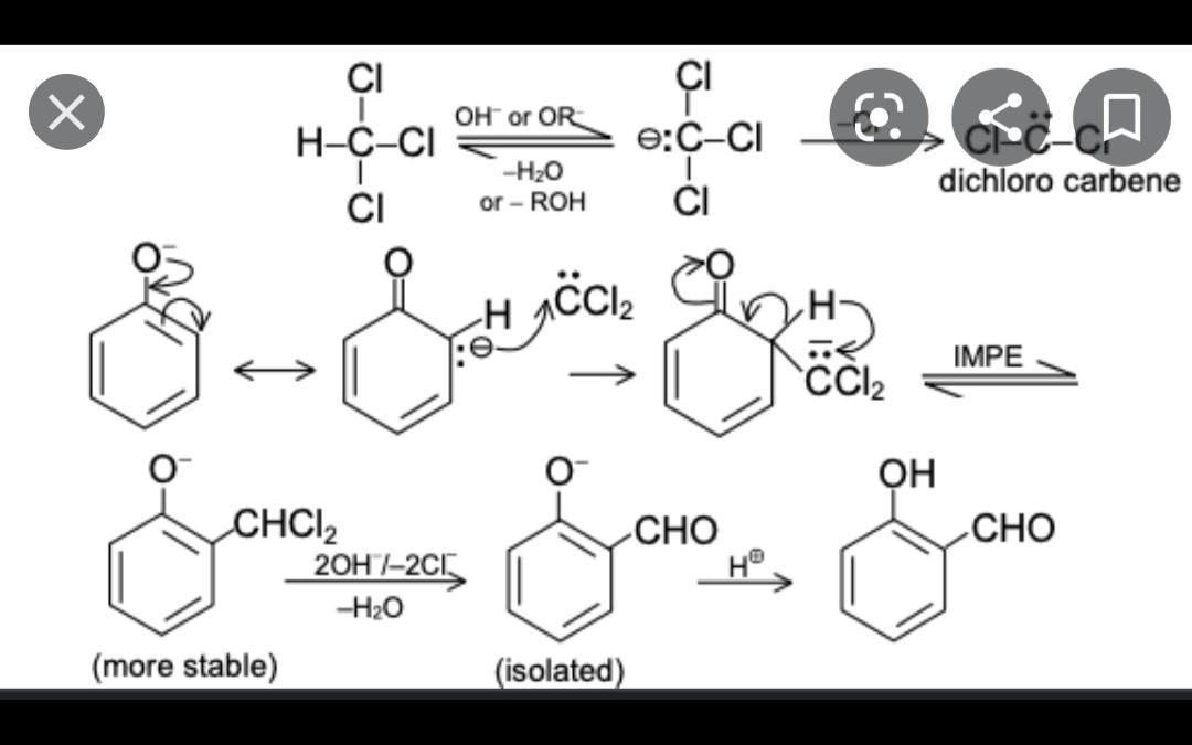
The Reimer-Tiemann reaction is known as the ortho-formylation of phenols under strongly alkaline conditions. Mechanism will be like this 👇