Time management is very much important in IIT JAM. The eduncle test series for IIT JAM Mathematical Statistics helped me a lot in this portion. I am very thankful to the test series I bought from eduncle.
Nilanjan Bhowmick AIR 3, CSIR NET (Earth Science)
>
>



Dhairya sharma Best Answer
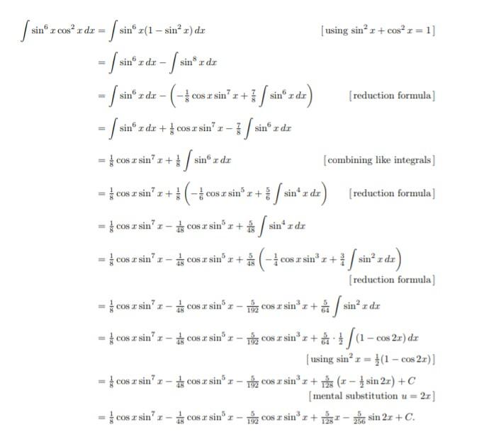
for integration of sin^6 and sin^8 see link https://youtu.be/4Pv7SI-XIy4 https://youtu.be/CAiWAlqLUwc