Time management is very much important in IIT JAM. The eduncle test series for IIT JAM Mathematical Statistics helped me a lot in this portion. I am very thankful to the test series I bought from eduncle.
Nilanjan Bhowmick AIR 3, CSIR NET (Earth Science)
>



Sajan sarthak
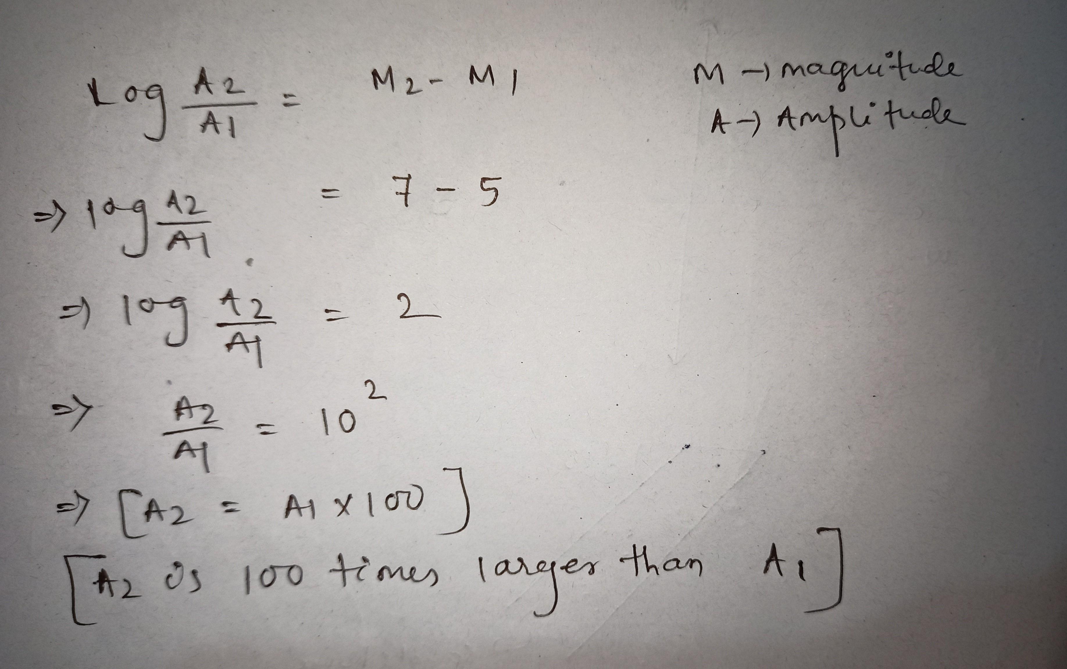
there is a logarithmic scale of magnitude and amplitude relationship, so of magnitude difference is 1, larger one is 10 times greater than smaller one. if 2, 100 times. if 3 ,1000 times If 4, 10000 times
and what is 32times, that we usually calculated..
Energy is 32 times